The effect of the photoperiod on the serotonergic system of the thymus and its role in the implementation of the effects of exogenous melatonin
- Authors: Luzikova E.M.1, Sergeeva V.E.1, Moskovsky A.V.1, Sergeev P.V.1, Lukachev I.A.1, Moskovskaya O.I.1
-
Affiliations:
- Chuvash State University named after I.N. Ulyanov
- Issue: Vol 103, No 5 (2022)
- Pages: 788-796
- Section: Experimental medicine
- Submitted: 06.10.2021
- Accepted: 01.09.2022
- Published: 03.10.2022
- URL: https://kazanmedjournal.ru/kazanmedj/article/view/82705
- DOI: https://doi.org/10.17816/KMJ2022-788
- ID: 82705
Cite item
Full Text
Abstract
Background. It was believed that the functioning of the immune organs is photoindependent, but there are a number of works that testify to the effect of the photoperiod shift on the functioning of the immune organs. We hypothesized that the absence of a photoperiod under constant light or constant dark would affect the serotonergic system of the thymus gland, as well as the direction and intensity of melatonin exposure.
Aim. Study of serotonin-containing thymus cells under conditions of experimental desynchronosis and the role of the photoperiod in the realization of the effects of exogenous melatonin.
Material and methods. A comparative study of serotonin-containing thymus cells of 8-week-old Wistar rats, which were divided into 6 groups, was carried out. The first and second groups were kept under conditions of natural photoperiod, the third and fourth — in conditions of constant darkening, the fifth and sixth groups — in conditions of constant illumination within 4 weeks. Melatonin ad libitum at a concentration of 4 mg/l with water was received by animals of the second, fourth and sixth groups for 4 weeks. To determine the level of serotonin in cells, monoclonal antibodies to 5-HT were used. Conclusions about the serotonin content in the cells were made by measuring the optical density of the substance in 100 cells for each animal using the SigmaScan Pro5 program. Descriptive statistical processing was performed using the Statistica 17 program. The data obtained for each group of animals were averaged, the standard error and standard deviation were calculated.
Results. Artificial darkening reduced the serotonin content in 5-HT-immunoreactive cells of the cortical substance by 2.4 times (p=0.001), and constant illumination increased this indicator by 1.9 times (p=0.001). When melatonin was administered to animals kept in dark conditions for 4 weeks, the optical density of serotonin increased by 3.6 times (p <0.0001). Administration of melatonin to animals under constant illumination led to an increase in the optical density of serotonin in the cells of the diffuse endocrine system at the border of the cortex and medulla of the lobules by 1.5 times (p=0.002).
Conclusion. The cells of the diffuse endocrine system of the thymus are sensitive to changes in the photoperiod, and the introduction of melatonin has a multidirectional effect on the amount and optical density of serotonin under different light conditions.
Keywords
Full Text
Актуальность
Исследование влияния световых режимов на функционирование иммунной системы чрезвычайно актуально. Человек создал ноосферу, в которой многие древние биологические механизмы нарушаются, например естественная смена дня и ночи. Круглосуточное освещение, ночные дежурства, клубный образ жизни — всё это вызывает изменения на клеточном уровне [1]. Нарушение циркадных ритмов приводит к повышению риска развития опухолей [2, 3], снижению регенеративной активности [4, 5], иммуносупрессии [6, 7], ожирению [8], быстрому старению организма [9, 10], а также к нарушению психоэмоционального статуса [11–13].
Вилочковая железа (тимус) — первичный лимфоидный орган, ответственный за созревание Т-лимфоцитов, которое регулируется эндокринными и паракринными механизмами. Цитохимически выделяют три различных популяции эндокринных клеток тимуса: аргентафинные, аргирофильные и биоамин-содержащие клетки [14]. Эти клетки служат частью периферического звена диффузной эндокринной системы (ДЭС), к которому относят клетки, расположенные на границе коркового и мозгового вещества дольки тимуса и проявляющие свойства местных серотонин-продуцентов, а также стромальные клетки коркового вещества долек вилочковой железы, обладающие серотонин-поглотительными свойствами и создающие биоаминное микроокружение лимфоцитов тимуса [15, 16].
Граница коркового и мозгового вещества долек тимуса (кортико-медуллярная зона) содержит серотонин-позитивные клетки в один-два ряда. В люминесцентно-гистохимических исследованиях тимуса 1970–2000-х годов показано, что в клетках, расположенных на границе коркового и мозгового вещества долек, содержатся катехоламины, серотонин, гистамин. Известно, что клетки кортико-медуллярной зоны проявляют свойства местных биоаминопродуцентов и сочетают в себе свойства макрофагов и клеток АРUD-серии [17–19].
В эксперименте с введением вегетотропных веществ было установлено, что гранулярные люминесцирующие клетки коркового вещества долек и тимоцитарная паренхима обладают аминопоглотительными свойствами [17, 20] и способностью связывать нейромедиаторы. Связывание серотонина может происходить на поверхности кортико-медуллярных, субкапсулярных макрофагов и тучных клеток с помощью мембранных фосфолипидов. Обратный захват серотонина из межклеточного вещества возможен с помощью моноаминового переносчика 5-НТТ (SERT), находящегося в плазматической мембране макрофагов, дендритных и тучных клеток [21]. Транспортёр серотонина сначала связывает ион натрия, затем серотонин, а затем ион хлорида, таким образом, благодаря мембранному потенциалу он может переворачиваться внутри клетки, освобождая все ранее связанные элементы. Сразу после высвобождения серотонина в цитоплазме ион калия связывается с переносчиком, который может переключаться обратно, возвращаясь в своё активное состояние [22].
Тимус крысы содержит все компоненты серотонинергической системы: серотонин-продуцирующие клетки, серотонин-поглощающие клетки, рецепторы, ферменты синтеза и мембранные транспортёры. Экспрессия рецепторов предполагает возможность прямого влияния серотонина на развитие и функционирование вилочковой железы [16, 23].
Ранее считали, что серотонинергическая система тимуса фотонезависима, как и всё периферическое звено ДЭС, но ряд исследований [9, 10, 24–26] опровергает это утверждение. Среди исследований, посвящённых влиянию сдвига фотопериода на иммунные органы, есть работы, показывающие различия в воздействии мелатонина на показатели клеточного иммунитета при нормальном фотопериоде и непрерывном освещении [25]. Мы предположили, что отсутствие фотопериода при постоянном освещении или постоянном затемнении повлияет на серотонинергическую систему тимуса, а также на направление и интенсивность воздействия мелатонина.
Цель
Целью нашего исследования было изучение влияния фотопериода на серотонинергическую систему тимуса и его роль в реализации эффектов экзогенного мелатонина.
Задачи исследования: определить количество серотонин-позитивных клеток тимуса и содержание серотонина в них в условиях отсутствия фотопериода, в условиях постоянного освещения (исключение выработки эндогенного мелатонина) и при введении мелатонина в вышеназванных условиях.
Материал и методы исследования
В эксперименте использованы крысы-самцы линии Wistar (n=60) в возрасте 8 нед с массой тела 150–200 г. Животные были разделены на шесть групп по 10 крыс (~~~~~~~~табл. 1): первую и вторую группы содержали в условиях естественного фотопериода, третью и четвёртую — в условиях постоянного затемнения, пятую и шестую группы — в условиях постоянного освещения в течение 4 нед. Мелатонин получали животные второй, четвёртой и шестой групп в форме препарата мелаксен ad libitum в концентрации 4 мг/л с питьевой водой в течение 4 нед. Данные о морфологической реакции серотонинергической системы тимуса на изменение световых условий получали, сравнивая первую, вторую и третью группы. Данные о различиях в реакции серотонин-содержащих клеток на поступление мелатонина в организм в разных световых условиях получали, сравнивая первую, вторую, третью и четвёртую, пятую и шестую группы.
Таблица 1. Дизайн экспериментального исследования влияния фотопериода и мелатонина на серотонин-содержащие клетки тимуса
Условия эксперимента | Естественные условия освещения | Постоянное затемнение | Постоянное освещение | |||
Группы экспериментальных мышей | ||||||
Первая | Вторая | Третья | Четвёртая | Пятая | Шестая | |
Продолжительность светового дня, ч | 8–9 | 8–9 | — | — | 24 | 24 |
Освещённость утром, лк | 50–150 | 50–150 | 0−0,5 | 55 | ||
Освещённость пасмурным днём, лк | до 500 | до 500 | ||||
Освещённость ясным днём, лк | до 1000 | до 1000 | ||||
Освещённость вечером, лк | 100–200 | 100–200 | ||||
Концентрация мелатонина в питьевой воде «Сестрица», мг/л | — | 4 | — | 4 | — | 4 |
Физиологическая доза для крысы без учёта 15% усвояемости, мг | — | 0,01 | — | 0,01 | — | 0,01 |
Доза для крысы с учётом 15% усвояемости, мг | — | 0,09 | — | 0,09 | — | 0,09 |
Экспериментальные исследования осуществляли в соответствии с протоколом, утверждённым этическим комитетом ФГОУ ВПО «Чувашский государственный университет им. И.Н. Ульянова» от 01.03.2013.
Мелатонин вводили перорально [(мелаксен, Unipharm, Inc., США) ad libitum в концентрации 4 мг/л с питьевой в течение 4 нед], поскольку он легко проникает через кишечный и гематоэнцефалический барьеры, после экзогенного введения присутствует в крови и мозге в высоких концентрациях [27].
Тимус у животных извлекали после удушающего действия диоксида углерода на 28-е сутки эксперимента во второй половине дня (15:00–17:00) и фиксировали в 10% формалине с последующей заливкой в парафин для общегистологических и иммунологических методов исследования. Производили депарафинизацию препаратов в ксилоле и регидратацию в спиртах снижающейся концентрации с последующей промывкой в дистиллированной воде 5 мин. Затем блокировали эндогенную пероксидазу в 3% водном растворе перекиси водорода 10 мин при комнатной температуре. Затем промывали в дистиллированной воде 4 мин и переносили стекла в 0,01 М фосфатно-солевой буфер (рН=7,4) на 7 мин.
Инкубацию производили в 5% растворе бычьего сывороточного альбумина, фракция V по Кону (Serva, Германия, Fluka, США) на фосфатно-солевом буфере — 10 мин при комнатной температуре. Затем удаление бычьего сывороточного альбумина без промывки, инкубация с первичными моноклональными антителами (клон 5-HT-H209, DAKO, Дания) 30 мин, во влажной камере при 38 °C, с последующей промывкой в фосфатно-солевом буфере 7 мин. Инкубацию осуществляли с вторичными биотинилированными антителами из набора LSAB2 (Dako, Дания) с добавкой 1–2% нормальной сыворотки крысы в течение 30 мин при комнатной температуре, затем осуществляли промывку в фосфатно-солевом буфере 7 мин. Инкубация со стрептавидин-пероксидазой из набора LSAB2 (Dako, Дания) длилась 15 мин при комнатной температуре. Производили промывку в фосфатно-солевом буфере (5 мин) и в заключение инкубацию с раствором 3,3-диаминобензидинтетрагидрохлорида («DAB+», Dako, Дания) под визуальным контролем (3 мин), промывку в дистиллированной воде 5 мин [28].
Иммуноцитохимическую реакцию на серотонин (5-гидрокситриптамин, 5-HT) использовали для выявления серотонина в клетках, способных синтезировать или накапливать этот моноамин [22], в частности в клетках стромы и паренхимы тимуса [24]. Подсчёт клеток был произведён с использованием программы SigmaScan Pro5 и микроскопа Carl Zeiss Axio Scope A1 при увеличении ×400. Выводы о содержании серотонина в клетках делали путём измерения оптической плотности вещества в 100 клетках по каждому животному с помощью программы SigmaScan Pro5.
Описательная статистическая обработка произведена с использованием программы Statisticа 17 (США). Данные по экспрессии белков-маркёров по каждой группе животных усредняли и вычисляли стандартную ошибку и стандартное отклонение.
Результаты
В тимусе контрольных животных (первая экспериментальная группа) серотонин-позитивные клетки выявлены в корковом и мозговом веществе долек, а также на границе коркового и мозгового вещества долек тимуса. На микропрепаратах, обработанных моноклональными антителами к 5-HT, позитивную реакцию дают плазма крови, эндотелий сосудов и тучные клетки. Серотонин-содержащие клетки ДЭС на границе коркового и мозгового вещества долек тимуса немногочисленны, расположены небольшими группами, среднее их количество 7,29±1,2 в 1 мм2. Средняя оптическая плотность серотонина в них 0,27±0,01, а средняя оптическая плотность серотонина в межклеточном веществе вокруг исследуемых клеток достигает 0,05±0,004.
По результатам наших исследований, искусственное затемнение (третья экспериментальная группа) не приводит к достоверным изменениям количества серотонин-позитивных клеток границы коркового и мозгового вещества и в корковом веществе тимусных долек. Оптическая плотность серотонина снижается в нейроэндокринных клетках коркового вещества 2,4 раза (p=0,001), а в кортико-медуллярных нейроэндокринных клетках содержание серотонина не меняется (табл. 2). Одновременно происходят уменьшение количества лимфоцитов в корковом и мозговом веществе долек и увеличение содержания серотонина в лимфоцитах коркового вещества (рис. 1).
Таблица 2. Количество и оптическая плотность серотонин-позитивных клеток коркового вещества (ККВ), границы клеток коркового и мозгового вещества (КМВ) долек тимуса в условиях искусственного десинхроноза и введения мелатонина
Показатель | Группы | |||||
Первая | Вторая | Третья | Четвёртая | Пятая | Шестая | |
Количество ККВ | 1,7±0,92 | 3,42±0,6 p=0,000003• | 3,7±1,4 | 1,9±0,4 p=0,0006•• | 2,5±1,2 | 3,2±0,6 |
Оптическая плотность серотонина в ККВ | 0,15±0,02 | 0,28±0,07 p=0,001• | 0,06±0,08 p=0,000000•1 | 0,24±0,07 p=0,014•• | 0,09±0,04 | 0,29±0,01 p=0,0000001••• |
Количество КМВ | 7,29±1,2 | 11,25±1,6 | 5,21±0,96 | 6,25±0,75 | 5,44±0,73 | 14,7±1,0 |
Оптическая плотность серотонина в КМВ | 0,27±0,01 | 0,4±0,007 p=0,000001• | 0,27±0,004 | 0,31±0,003 p=0,031•• | 0,37±0,007 p=0,023• | 0,54±0,01 p=0,000005 ••• |
Оптическая плотность серотонина в микроокружении КМВ | 0,05±0,004 | 0,04±0,002• | 0,06±0,01 | 0,08± 0,003 p=0,000023•• | 0,05±0,002 | 0,16±0,001 p=0,026••• |
Примечание. Статистическую значимость исследовали в сравнении: • — с первой группой; •• — с третьей группой; ••• — с пятой группой. Подсчёт проводили в участках препарата площадью 13,5 мм2.
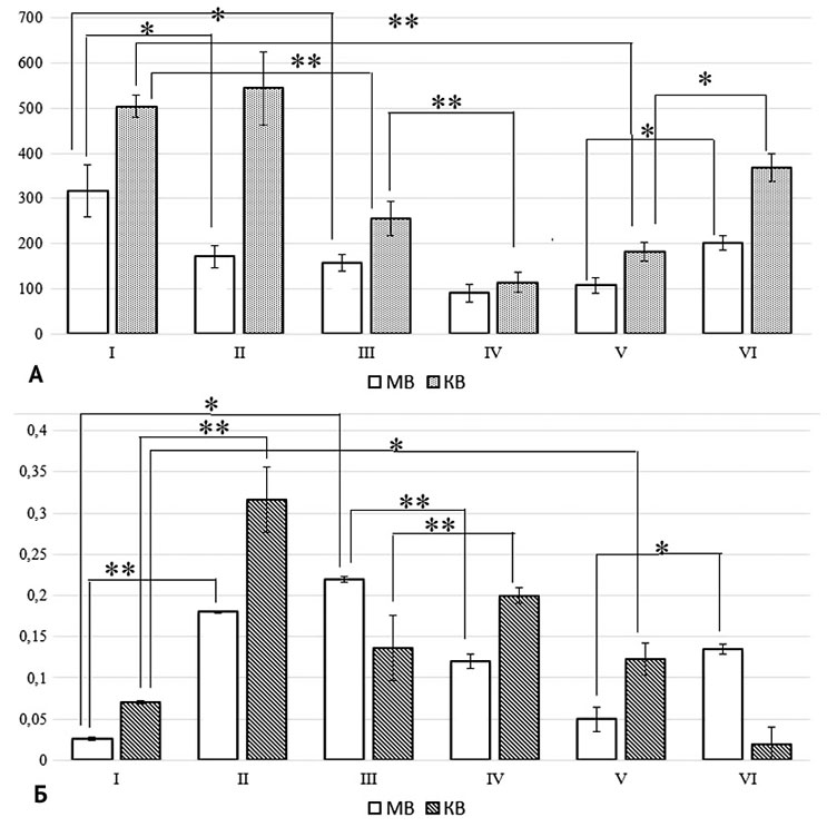
Рис. 1. Изменение количества (А) и оптической плотности (Б) серотонина лимфоцитов мозгового и коркового вещества (МВ и КВ) долек тимуса крыс линии Wistar, получавших мелатонин в разных световых условиях: I — животные, содержавшиеся при естественном освещении; II — животные, содержавшиеся при естественном освещении и получавшие мелатонин; III — животные, содержавшиеся в условиях затемнения; IV — животные, содержавшиеся в условиях затемнения и получавшие мелатонин; V — животные, содержавшиеся при постоянном освещении; VI — животные, содержавшиеся при постоянном освещении и получавшие мелатонин в течение 4 нед; *р ≤0,001, **р ≤0,01. Подсчёт проводили в участках препарата площадью 13,5 мм2
Постоянное освещение (пятая экспериментальная группа) не приводит к достоверным изменениям количества и оптической плотности серотонина клеток ДЭС коркового вещества долек тимуса, но вызывает увеличение оптической плотности серотонина в клетках ДЭС на границе коркового и мозгового вещества долек в 1,4 раза (см. табл. 2.). Уровень серотонина в лимфоцитах мозгового вещества долек имеет тенденцию к увеличению, а в лимфоцитах коркового вещества повышается (см. рис. 1). Одновременно происходит снижение количества лимфоцитов как в корковом, так и в мозговом веществе долек (см. рис. 1).
При ежедневном поступлении мелатонина перорально с водой в организм крыс, находившихся в условиях естественного освещения (вторая экспериментальная группа), происходило увеличение оптической плотности серотонин-позитивных клеток ДЭС коркового вещества долек в 1,9 раза (p=0,002), а их количество увеличивалось в 2 раза (p=0,004). Оптическая плотность серотонина в клетках на границе коркового и мозгового вещества повышалось в 1,5 раза, а в их микроокружении значимых изменений не было (см. табл. 2). Содержание серотонина в лимфоцитах коркового и мозгового вещества долек возрастало, но количество лимфоцитов в мозговом веществе снижалось, а в корковом веществе значительно не менялось.
При введении мелатонина животным, находившимся в условиях затемнения (четвёртая экспериментальная группа), количество серотонин-содержащих клеток ДЭС коркового вещества долек снижалось в 2 раза (p=0,02), а оптическая плотность серотонина в них резко возрастало в 3,6 раза (p=0,0005). В нейроэндокринных клетках, расположенных на границе коркового и мозгового вещества долек и в их микроокружении, оптическая плотность серотонина возрастала в 1,2 и 1,3 раза соответственно (см. табл. 2.). Введение мелатонина снижает уровень серотонина в лимфоцитах мозгового вещества и повышает в лимфоцитах коркового вещества (см. рис. 1). Количество лимфоцитов в корковом и мозговом веществе тимуса снижается по сравнению с контрольными показателями и по сравнению с соответствующими показателями у животных, содержавшихся в условиях искусственного затемнения.
Введение мелатонина животным, находившимся в условиях постоянного освещения (шестая экспериментальная группа), приводит к увеличению количества амин-продуцирующих клеток на границе коркового и мозгового вещества долек в 2,7 раза (p=0,007) и оптической плотности серотонина в них в 1,5 раза (p=0,002; см. табл. 2). Количество серотонин-позитивных клеток коркового вещества долек достоверно не меняется, а оптическая плотность серотонина в них увеличивается в 3 раза (p=0,003; см. рис. 1). Количество лимфоцитов в корковом и в мозговом веществе долек увеличивается, оптическая плотность серотонина в лимфоцитах мозгового вещества увеличивается (рис. 2), а в лимфоцитах коркового вещества снижается.
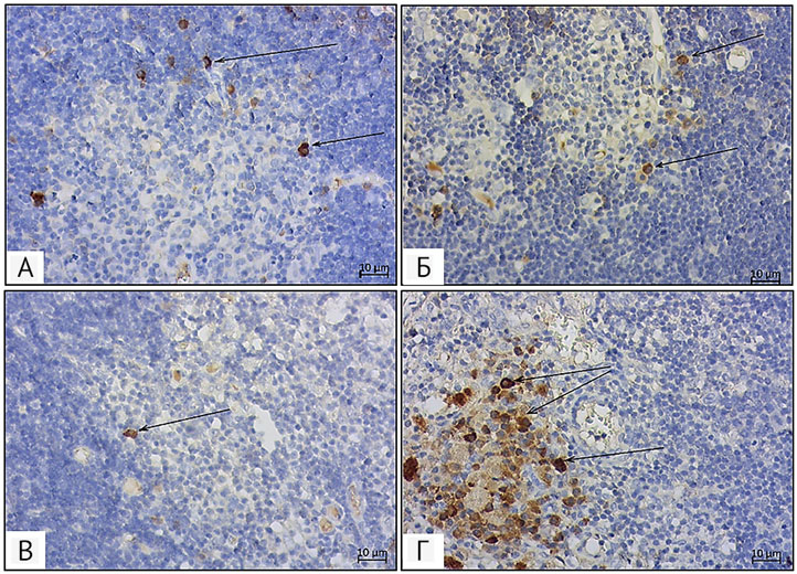
Рис. 2. Серотонин-позитивные клетки (стрелки) на границе коркового и мозгового вещества долек тимуса животных, содержавшихся 4 нед в темноте (А), содержавшихся при постоянном освещении (В) и получавших мелатонин в условиях отсутствия света (Б) и при постоянном освещении (Г). Иммуногистохимическая реакция на серотонин с использованием моноклональных антител (клон 5-HT-H209, DAKO, Дания). Объектив 40, окуляр 10
Обсуждение
В условиях отсутствия света достоверных изменений в серотонин-продуцирующих кортико-медуллярных клетках ДЭС не выявлено, а постоянное освещение усиливает синтез серотонина в них. В клетках ДЭС коркового вещества обратная тенденция: отсутствие света вызывает снижение оптической плотности серотонина, а постоянное освещение не приводит к достоверным изменениям содержания серотонина в вышеназванных клетках. При постоянном освещении уровень серотонина и в аминопродуцирующих клетках границы коркового и мозгового вещества долек, и в аминопоглощающих лимфоцитах повышается, так как, возможно, нарушается превращение серотонина в мелатонин.
В исследованиях, где животные были помещены в условия со смещением фотопериода в сторону длинного светового дня, зарегистрировано уменьшение секреции экстрапениального мелатонина в тимусе, что соотносится с нашими данными [25]. При постоянном затемнении уровень серотонина в клетках коркового вещества долек снижается. Причиной этого могло бы быть усиление экзоцитоза серотонина вышеназванными клетками, но в микроокружении клеток ДЭС коркового вещества уровень серотонина значимо не меняется (см. табл. 2). Следовательно, либо снижается поглощение серотонина, либо усиливается превращение серотонина в мелатонин.
Отсутствие фотопериода (постоянное освещение и постоянное затемнение) приводит к увеличению оптической плотности серотонина в лимфоцитах коркового вещества и уменьшению количества лимфоцитов. Известно, что повышенный уровень серотонина и сниженный уровень мелатонина в лимфоидных тканях сопровождаются снижением пролиферации и активацией апоптоза лимфоцитов [25]. Возможно, что фотопериод модулирует работу серотонинергической системы тимуса, регулируя экспрессию серотониновых рецепторов, так же как модулирует экспрессию мелатониновых рецепторов [29] путём изменения содержания серотонина в тканях.
Введение экзогенного мелатонина в условиях естественной смены дневного и ночного освещения приводит к усилению продукции серотонина нейроэндокринными клетками на границе коркового и мозгового вещества долек и поглощения серотонина тимоцитарной паренхимой и нейроэндокринными клетками коркового вещества. Экзогенный мелатонин, поступающий в организм при постоянном затемнении, стимулирует продукцию серотонина клетками кортико-медуллярных зон тимусных долек, одновременно повышается содержание серотонина в их микроокружении, свидетельствующее об активной секреции серотонина. Увеличение оптической плотности серотонина клетками ДЭС и лимфоцитами коркового вещества долек тимуса может свидетельствовать об активации поглощения серотонина.
Мелатонин, поступающий в организм при постоянном освещении, также стимулирует синтез серотонина в клетках ДЭС кортико-медуллярной зоны долек, одновременно увеличивается содержание серотонина в серотонин-поглощающих клетках ДЭС и тимоцитах коркового вещества. Таким образом, серотонинергическая система тимуса фотозависима.
Продукция серотонина в аминопродуцирующих клетках ДЭС границы коркового и мозгового вещества долек в условиях отсутствия фотопериода достоверно не изменяется, но подавляются серотонин-поглотительные свойства клеток ДЭС коркового вещества долек тимуса.
Условия постоянного освещения не меняют серотонин-поглотительные свойства клеток ДЭС коркового вещества вилочковой железы, но усиливают накопление серотонина в аминопродуцирующих клетках границы коркового и мозгового вещества долек тимуса.
Независимо от фотопериода экзогенный мелатонин повышает содержание серотонина в клетках ДЭС тимуса, что более выражено в условиях постоянного освещения.
Наши результаты вносят вклад в изучение фотозависимых клеточных механизмов функционирования иммунных органов, и их следует учитывать при использовании мелатонина для коррекции иммунных и эндокринных нарушений, возникающих при изменении фотопериода. Также результаты наших исследований можно применять в иммуностимулирующей и геропротективной терапии. Они могут быть использованы при разработке методов, позволяющих замедлить возрастную инволюцию лимфоидных органов.
Вывод
Наши исследования показали, что клетки диффузной эндокринной системы вилочковой железы (тимуса) чувствительны к изменению фотопериода, а введение мелатонина оказывает разнонаправленное действие на количество и оптическую плотность серотонина в разных световых условиях.
Участие авторов. Е.М.Л. — концепция и дизайн исследования, сбор и обработка материала, статистическая обработка данных, анализ и интерпретация данных, написание текста; В.Е.С. — концепция и дизайн исследования; А.В.М. — анализ и интерпретация данных; П.В.С. и И.А.Л. — сбор и обработка материала, статистическая обработка данных; О.И.М. — сбор и обработка материала.
Источник финансирования. Исследование не имело спонсорской поддержки.
Конфликт интересов. Авторы заявляют об отсутствии конфликта интересов по представленной статье.
About the authors
Elena M. Luzikova
Chuvash State University named after I.N. Ulyanov
Author for correspondence.
Email: nema76@mail.ru
ORCID iD: 0000-0002-1217-0985
Cand. Sci. (Biol.), Assoc. Prof., Depart. of General and Clinical Morphology and Forensic Medicine
Russian Federation, Cheboksary, RussiaValentina E. Sergeeva
Chuvash State University named after I.N. Ulyanov
Email: valentina-sergeeva@yandex.ru
ORCID iD: 0000-0003-3471-5226
D. Sci. (Biol.), Prof., Depart. of Medical Biology with a Course of Microbiology and Virology
Russian Federation, Cheboksary, RussiaAlexander V. Moskovsky
Chuvash State University named after I.N. Ulyanov
Email: moskov_av@mail.ru
ORCID iD: 0000-0003-3043-9703
M.D., D. Sci. (Med.), Prof., Depart. of Prosthetic Dentistry and Orthodontics
Russian Federation, Cheboksary, RussiaPavel V. Sergeev
Chuvash State University named after I.N. Ulyanov
Email: sem_212@mail.ru
ORCID iD: 0000-0003-2016-331X
student
Russian Federation, Cheboksary, RussiaIvan A. Lukachev
Chuvash State University named after I.N. Ulyanov
Email: joke.job@mail.ru
ORCID iD: 0000-0001-8625-1318
student
Russian Federation, Cheboksary, RussiaOlesya I. Moskovskaya
Chuvash State University named after I.N. Ulyanov
Email: moskov_av@mail.ru
ORCID iD: 0000-0002-9147-7263
Cand. Sci. (Biol.), Assoc. Prof., Depart. of Medical Biology with a Course of Microbiology and virology
Russian Federation, Cheboksary, RussiaReferences
- Arushanian EB, Beĭer EV. Pineal hormone melatonin is an universal adaptogenicagent. Uspekhi fiziologicheskikh nauk. 2012;43(3):82–100. (In Russ.)
- National Toxicology Program. NTP Cancer Hazard Assessment Report on Night Shift Work and Light at Night. Research Triangle Park (NC): National Toxicology Program; 2021. doi: 10.22427/NTP-CHR-NSWLAN.
- Lai KY, Sarkar C, Ni MY, Cheung LWT, Gallacher J, Webster C. Exposure to light at night (LAN) and risk of breast cancer: A systematic review and meta-analysis Affiliations expand. Sci Total Environ. 2021;762:143159. doi: 10.1016/j.scitotenv.2020.143159.
- Depner CM, Rice JD, Tussey EJ, Eckel RH, Bergman BC, Higgins JA, Melanson EL, Kohrt WM, Wright JrKP, Swanson CM. Randomized controlled trial. Bone. 2021;152:116096. doi: 10.1016/j.bone.2021.116096.
- Aasar HЕ, Rashed L, Sadik AE, Amer R, Emam H. The role of the adipose tissue-derived mesenchymal stem cells enriched with melatonin on pancreatic cellular regeneration. Folia Morphol (Warsz). 2021 Sep 21. Epub ahead of print. doi: 10.5603/FM.a2021.0093.
- Uthaiwat P, Priprem A, Chio-Srichan S, Settasatian C, Lee Y, Mahakunakorn P, Boonsiri P, Leelayuwat C, Tippayawat P, Puthongking P, Daduang J. Oral administration of melatonin or succinyl melatonin niosome gel benefits 5-FU-induced small intestinal mucositis treatment in mice. AAPS PharmSciTech. 2021;22(5):200. doi: 10.1208/s12249-021-01941-y.
- Mańka S, Majewska E. Immunoregulatory action of melatonin. The mechanism of action and the effect on inflammatory cells. Postepy Hig Med Dosw (Online). 2016;70:1059–1067. doi: 10.5604/17322693.1221001.
- Louis F, Sowa Y, Kitano S, Matsusaki M. High-throughput drug screening models of mature adipose tissues which replicate the physiology of patients' Body Mass Index (BMI). Bioact Mater. 2021;7:227–241. doi: 10.1016/j.bioactmat.2021.05.020.
- Guo Q, Wang Z, Dong Y, Cao J, Chen Y. Pharmacological advantages of melatonin in immunosenescence by improving activity of T lymphocytes. J Biomed Res. 2016;30(4):314–321. doi: 10.7555/JBR.30.2016K0010.
- Paltsev MA, Polyakova VO, Kvetnoy IM, Anderson G, Kvetnaia TV, Linkova NS, Paltseva EM, Rubino R, De Cosmo S, De Cata A, Mazzoccoli G. Morphofunctional and signaling molecules overlap of the pineal gland and thymus: role and significance in aging. Oncotarget. 2016;7(11):11972–11983. doi: 10.18632/oncotarget.7863.
- Green NH, Jackson CR, Iwamoto H, Tackenberg MC, McMahon DG. Photoperiod programs dorsal raphe serotonergic neurons and affective behaviors. Curr Biol. 2015;25(10):1389–1394. doi: 10.1016/j.cub.2015.03.050.
- Aguglia A, Borsotti A, Cuniberti F, Serafini G, Amore M, Maina G. The influence of sunlight exposure on hospitalization in emergency psychiatry. Chronobiol Int. 2017;34(10):1413–1422. doi: 10.1080/07420528.2017.1374286.
- Domínguez-López S, Mahar I, Bambico FR, Labonté B, Ochoa-Sánchez R, Leyton M, Gobbi G. Short-term effects of melatonin and pinealectomy on serotonergic neuronal activity across the light-dark cycle. J Psychopharmacol. 2012;26(6):830–844. doi: 10.1177/0269881111408460.
- Mishra UK. Cytochemical identification of endocrine thymus of chicken in relation to aging. Vet Res Forum. 2013;4(3):137–143. PMID: 25653787.
- Sergeeva VE, Gordova VS, Pavlova OV, Smorodchenko AT. The contribution of professor Dina Semyonovna Gordon’s scientific school to studying thymic morphology and functions (scientific-historical overview). Acta medica Eurasica. 2019;(2):52–63. (In Russ.)
- Sergeeva VE, Gordon DS. Lyuminestsentno-gistokhimicheskaya kharakteristika ranney monoaminsoderzhashchikh struktur timusa na antigennye vozdeystviya. (Luminescent-histochemical characteristics of the early reaction of the monoamine-containing structure of the thymus to antigenic effects.) Cheboksary: Izd-vo Chuvash. un-ta; 1992. 352 р. (In Russ.)
- Gordon DS, Sergeeva VE, Zelenova IG. Neyromediatory limfoidnykh organov. (Neurotransmitters of lymphoid organs.) L.: Nauka; 1982. 128 p. (In Russ.)
- Gordon DS, Sergeeva VE, Smorodchenko AT, Kirillov NA, Petrova TL, Olangin OI, Spirin IV. Fluorescent granular cells of the thymus can be identified as dendritic macrophages Bulletin of experimental biology and medicine. 2001;132(7):118–120. (In Russ.)
- Sergeeva VE, Smorodchenko AT, Spirin IV. Neurotransmitter bioamine supply of thymic and lymph node structures during treatment with somatotropic hormone. Bulletin of experimental biology and medicine. 2000;129(5):591–593. (In Russ.)
- Sergeeva VE, Gunin AG, Gordon DS. Combination of macrophages and apud series cell characteristics in monoamine-containing premedullary cells of thymus lobule. Morphology. 1994;(1–3):159–162. (In Russ.)
- D'Ascola A, Bruschetta G, Zangh� G, Campo S, Medica P, Campana S, Ferlazzo G, Gibbs BF, Ferlazzo AM. Changes in plasma 5-HT levels and equine leukocyte SERT expression in response to treadmill exercise. Res Vet Sci. 2018;118:184–190. doi: 10.1016/j.rvsc.2018.02.012.
- Ferjan I, Lipnik-Štangelj M. Chronic pain treatment: the influence of tricyclic antidepressants on serotonin release and uptake in mast cells. Mediators Inflamm. 2013;2013:340473. doi: 10.1155/2013/340473.
- Francelin C, Veneziani LP, Farias ADS, Mendes-da-Cruz DA, Savino W. Neurotransmitters modulate intrathymic T-cell development. Front Cell DevBiol. 2021;9:668067.doi: 10.3389/fcell.2021.668067.
- Lifantseva NV, Koneeva TO, Voronezhskaya EE, Melnikova VI. Expression of components of the serotonergic system in the developing rat thymus. Dokl Biochem Biophys. 2017;477(1):401–404. doi: 10.1134/S1607672917060151.
- Litvinenko GI, Shurlygina AV, Gritsyk OB, Mel'nikova EV, Tenditnik MV, Avrorov PA, Trufakin VA. Effects of melatoninon morphological and functional parameters of the pineal gland and organs of immune system in rats during natural light cycle and constant illumination. Bulletin of Experimental Biology and Medicine. 2015;159(6):732–735. doi: 10.1007/s10517-015-3061-z.
- Gupta S, Haldar C. Photoperiodic modulation of local melatonin synthesis and its role in regulation of thymic homeostasis in Funambulus pennant. Gen Comp Endcrinol. 2016;239:40–49. doi: 10.1016/j.ygcen.2015.12.009.
- Tarocco А, Caroccia N, Morciano G, Wieckowski MR, Ancora G, Garani G, Pinton Р. Melatonin as a master regulator of cell death and inflammation: molecular mechanisms and clinical implications for newborn care. Cell Death Dis. 2019;10(4):317. doi: 10.1038/s41419-019-1556-7.
- Korzhevskiy DE, Drai RV, Kostiukevich SV. Immunocytochemical method for the demonstration of EC- (enterochromaffin) cells in the gut mucosal epithelium of the rat. Morphology. 2008;151(1):78–81. (In Russ.)
- Liu J, Clough SJ, Hutchinson AJ, Adamah-Biassi EB, Popovska-Gorevski M, Dubocovich ML. MT1 and MT2 melatonin receptors: A therapeutic perspective. Annu Rev Pharmacol Toxicol. 2016;56:361–383. doi: 10.1146/annurev-pharmtox-010814-124742.
Supplementary files




