Hereditary nervous disorders in Mari El
- Authors: Rudenskaya G.E.1,2, Klyushnikov S.A.1,2, Moshkina I.S.1,2
-
Affiliations:
- Laboratory of Population Genetics, Institute of Clinical Genetics, Medical Genetics Research Center, Russian Academy of Medical Sciences
- Yoshkar-Ola Branch, Kazan State Medical University
- Issue: Vol 77, No 4 (1996)
- Pages: 245-249
- Section: Theoretical and clinical medicine
- Submitted: 06.03.2022
- Accepted: 06.03.2022
- Published: 15.08.1996
- URL: https://kazanmedjournal.ru/kazanmedj/article/view/104503
- DOI: https://doi.org/10.17816/kazmj104503
- ID: 104503
Cite item
Full Text
Abstract
The population genetic study of hereditary nervous disorders is performed in Mari El (6 regions, total population 224100, including 144100 ethnic Maries and 66100 ethnic Russians). Overall hereditary nervous disorders prevalence is 25,44 per 100000, including 21,86 in Maries and 32,52 in Russians, the load of X-linked and autosomal recessive disorders being heavier than that of autosomal dominant disorders. The hereditary nervous disorders spectrum includes 24 nosologies neuromuscular disorders predominantly. Clinical and genetic characteristics of some cases are presented.
Keywords
Full Text
Доля наследственных болезней нервной системы (НБНС) в структуре неврологических заболеваний (особенно у больных детского и юношеского возраста) и генетической патологией достаточно весома. Медико-социальная значимость НБНС обусловлена их значительной распространенностью, особенно тем, что большинство НБНС весьма тяжело протекает и часто уже в детстве приводит к инвалидизации. Многие из них существенно ограничивают продолжительность жизни больных и их способность к деторождению. Эффективного же лечения для подавляющей части больных НБНС пока не существует.
Чрезвычайное разнообразие нозологических форм НБНС, их выраженная генетическая неоднородность и клинический полиморфизм часто затрудняют диагностику и медико-генетическое консультирование. Данные о распространенности, спектре, клинико-генетических характеристиках НБНС в отдельных популяциях чрезвычайно важны в практическом отношении для создания региональных регистров НБНС, являющихся основой адекватного регионального медико-генетического консультирования. Это тем более актуально, что благодаря достижениям молекулярной генетики возможности медико-генетического консультирования при многих НБНС принципиально изменились. ДНК-диагностика, которая проводится и в Институте клинической генетики, позволила перейти от вероятностного к высокоточному индивидуальному прогнозу таких тяжелых и распространенных НБНС, как прогрессирующая мышечная дистрофия (ПМД) Дюшенна, спинальная мышечная атрофия, миотоническая дистрофия, хорея Гентингтона и др.
В Республике Марий Эл НБНС изучались нами в ходе общих популяционно- и медико-генетических исследований, ведущихся в республике. Обследовано население 6 районов (Горномарийский, Звениговский, Моркинский, Оршанский, Сернурский и Советский) с общей численностью до 224,1 тыс. человек. Метод сбора информации, разработанный в Институте клинической генетики [2], обеспечивал надежную выявляемость больных. Последующий осмотр больных и членов их семей осуществлялся невропатологом-специалистом по НБНС.
На момент обследования в регионе проживали 57 больных НБНС. В таблице представлены данные о спектре и распространенности НБНС с различными типами наследования — аутосомно-доминантным (АД), аутосомно-рецессивным (АР), Х-сцепленным (Х-сц.)— в обследованной популяции в целом и среди основных этнических групп (марийцев и русских). В настоящей работе мы не рассматриваем факоматозы, олигофрению, врожденные пороки развития ЦНС, непрогрессирующие генетические синдромы с преимущественным вовлечением ЦНС.
Как видно из данных таблицы, НБНС представлены широким спектром из 24 форм. Отягощенность НБНС близка к средним данным, зарегистрированным в большинстве российских и зарубежных популяций [1, 3, 4—6]. Из обследованных нами ранее российских популяций этот показатель в Краснодарском крае составлял 24,8, в Брянской области — 21,0, в Кировской — 39,9, в Костромской — 14,5. Прослежена тенденция (общая для марийцев и русских) к преобладанию отягощенности АР форм над АД, тогда как в большинстве обследованных нами ранее российских популяций, за исключением Костромской области, наблюдалось обратное соотношение. При сходной общей направленности НБНС у марийцев и русских отмечена тенденция к несколько более высокой отягощенности НБНС среди русского населения. При этом спектр НБНС был шире у марийцев, чем у русских (соответственно 18 и 12 нозологических форм), очевидно, пропорционально численности обследованного населения. НБНС были выявлены также в 2 татарских семьях (в третьей по численности татарской этнической группе насчитывалось 7,4 тыс. человек). Существенно преобладали мононациональные браки родителей больных, случаев их кровного родства не наблюдалось. Как марийские, так и русские семьи с НБНС были в основном коренными сельскими жителями, родители часто происходили из одного или соседних сел.
Таблица. Спектр и распространенность (на 100 тыс. человек) наследственных болезней нервной системы в 6 районах Республики Марий Эл
Типы наследования, нозологические формы | Распространенность; число больных/семей | ||
всего (224100 чел.) | 1 марийцы (144100 чел.) | русские (66100 чел.) | |
Х-сцепленные* | 8,92 (10/8) | 9,72 (7/5) | 6,05 (2/2) |
ПМД Дюшенна | 7,14 (8/6) | 8,33 (6/4) | 6,05 (2/2) |
ПМД Бекера | 0,89 (1/1) | — | — |
ПМД с поражением плечевого пояса | 0,89 (1/1) | 1,39 (1/1) | — |
Аутосомно-доминантные | 9,37 (21/14) | 6,94 (10/7) | 10,59 (7/6) |
лице-лопаточно-плечевая ПМД | 0,45 (1/1) | 0,69 (1/1) | — |
лопаточно-перонеальная ПМД | 0,45 (1/1) | 0,69 (1/1) | — |
миотоническая дистрофия | 2,23 (5/2) | 0,69 (1/1) | — |
болезнь Шарко—Мари | 4,02 (9/6) | 3,47 (5/2) | 6,05 (4/4) |
семейная спастическая параплегия | 0,89 (2/1) | — | 3,03 (2/1) |
хорея Гентингтона | 0,89 (2/2) | 0,69 (1/1) | 1,51 (1/1) |
торзионная дистония | 0,45 (1/1) | 0,69 (1/1) | — |
Аутосомно-рецессивные | 11,16 (25/23) | 9,02 (13/12) | 18,15 (12/11) |
поясно-конечностная ПМД | 2,23 (5/5) | 2,08 (3/3) | 3,03 (2/2) |
дистальная ПМД | 0,47 (1/1) | — | 1,51 (1/1) |
спинальная мышечная атрофия II | 2,23 (5/5)** | 1,74 (2/2) | 3,79 (2/2) |
дистальная спинальная мышечная атрофия | 0,45 (1/1) | 0,69 (1/1) | _ |
пароксизмальная миоплегия спастическая параплегия с | 0,45 (1/1) | 0,69 (1/1) | — |
амиотрофией | 0,89(2/1) | 1,39 (2/1) | — |
спастическая атаксия | 0,89 (2/2) | — | 3,79 (2/2) |
синдром Маринеску—Съегрена | 0,89 (2/1) | — | 3,03 (2/1) |
врожденная атаксия | 0,45 (1/1) | 0,69 (1/1) | — |
болезнь Галлервордена—Шпатца | 0,45 (1/1) | 0,69 (1/1) | — |
болезнь Шпильмейера—Фогта | 0,45 (1/1) | — | 1,51 (1/1) |
лейкодистрофия недифференцированная | 0,89 (2/2)** | 0,35 | 2,26 (1/1) |
Неуточненный тип наследования врожденная миопатия с контрак | 0,89 (2/2) | 1,39 (2/2) | — |
турами олигофрения, спастический | 0,45 (1/1) | 0,69 (1/1) | — |
парапарез, эпилепсия, катаракта | 0,45 (1/1) | 0,69 (1/1) |
|
ВСЕГО | 25,44 (57/47) | 21,86 (31/26) | 32,52 (21/19) |
* для Х-сц. НБНС распространенность рассчитана на 100 тыс. мужчин; ** одна из семей (смешанная марийско-русская).
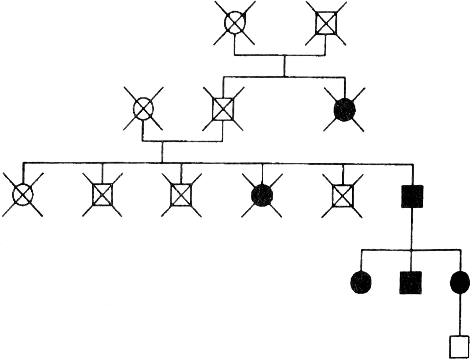
Основную долю в Марий Эл по суммарной распространенности и широте спектра составляли, как и повсеместно в мире, нервно-мышечные заболевания (17,85; 15,96 — у марийцев, 16,64 — у русских), что близко, например, к средним данным по США (20,0) [6]. Однако, в отличие от ряда популяций, в частности российских, в Марий Эл эта цифра складывается в большей степени за счет Х-сц. и АР, а не АД форм. Среди форм ПМД на первом месте по распространенности оказалась ПМД Дюшенна. Клинической особенностью в большинстве случаев являлась пролонгированная по сравнению с обычной возможность ходьбы, а в одной семье — и атипично позднее начало. В этой семье Т. (см. рис. 1А) на момент обследования было трое больных братьев 19, 18 и 14 лет с различным течением заболевания. У всех троих заболевание началось в 8-9 лет: при осмотре старший с трудом передвигался с опорой и самостоятельно не вставал; средний не ходил с 14 лет; младший при значительных изменениях походки ходил самостоятельно. Отмечались и некоторые различия уровне интеллекта: пограничный — у старшего, умеренно сниженный — у среднего и нормальный — у младшего.
Рис. 1А. Родословная семьи Т. Прогрессирующая мышечная дистрофия Дюшенна.
ДНК-исследование, проведенное в марийских семьях с ПМД Дюшенна, не выявило каких-либо отличий от общих, сходных во всех популяциях молекулярно-генетических характеристик заболевания. В двух семьях, в том числе в семье Т., обнаружена делеция (отсутствие соответствующего микроучастка Х-хромосомы); две другие оказались информативными по ряду ДНК-маркеров ПМД Дюшенна. В семьях уже не стоял вопрос прогноза потомства для родителей больных, однако проведенные исследования дают возможности надежной диагностики носительства гена и (в случае носительства) дородовой диагностики потомства сестер больных.
Частота АР поясно-конечностной ПМД, также одной из повсеместно распространенных форм, соответствовала средним литературным показателям. Больные демонстрировали описанные в литературе выраженные межсемейные различия по возрасту начала заболевания и тяжести течения. В марийской семье у мальчика 10 лет имела место форма, которую часто называют дюшенноподобной. Действительно, проводилась дифференциальная диагностика с ПМД Дюшенна, однако по клинической картине наряду с данными ДНК-исследований семьи, оказавшейся информативной по всем тестированным ДНК-маркерам ПМД Дюшенна (что не исключает абсолютно, но делает крайне маловероятным этот диагноз), была диагностирована поясно-конечностная ПМД. Эта особая ранняя злокачественная форма в большинстве популяций редка, однако существенно распространена среди арабского населения стран Северной Африки [6]. В двух марийских семьях поясно-конечностная ПМД, напротив, характеризовалась поздним началом — с 30 лет. Очевидно, клинический полиморфизм поясно-конечностной ПМД обусловлен ее генетической неоднородностью, что подтверждают данные литературы.
Миотоническая дистрофия была выявлена в двух семьях. В родословной одной из них, в татарской семье К. (рис. 1Б), демонстрирующей АД наследование, вместе с тем имеется “пропуск” в старшем поколении, вероятно, обусловленный субклинической формой заболевания. При характерных мышечных, эндокринных, сердечно-сосудистых и психических расстройствах офтальмологические нарушения имели особенности: у всех четверых были ретинопатия и дистрофия зрительных нервов, тогда как классическая для миотонической дистрофии катаракта выявлена только у одного из них (62-летнего отца трех больных сибсов). Такие офтальмологические нарушения, не являясь типичными, неоднократно описывались при миотонической дистрофии [11]. В семье К. ярко проявилось явление антиципации, то есть нарастание тяжести заболевания от поколения к поколению, характерное для миотонической дистрофии, объясняемое в настоящее время на молекулярно-генетическом уровне [8]. Антиципация в семье К. касалась всех вовлеченных в процесс систем. Крайним проявлением антиципации является самая тяжелая форма миотонической дистрофии — врожденная, передающаяся исключительно по материнской линии. При осмотре 3-месячного ребенка младшей из больных сестер признаков этого заболевания не выявлено.
Рис. 1Б. Родословная семьи К. Миотоническая дистрофия.
В другой семье с миотонической дистрофией определен лишь один манифестный случай заболевания, однако при осмотре у отца больной были обнаружены признаки катаракты, что может быть единственным признаком стертой формы. Действительно, спорадических случаев миотонической дистрофии, в строгом смысле слова, нет. Как свидетельствуют молекулярно-генетические данные, все случаи заболевания обусловлены, скорее всего, общей мутацией древнего происхождения [8, 10].
Другие выявленные нервно-мышечные заболевания, как распространенные и почти повсеместно входящие в
“ядро” наследственной моногенной патологии (ПМД Бекера, лице-лопаточно-плечевая ПМД, наследственная моторно-сенсорная невропатия, в частности болезнь Шарко—Мари, детская проксимальная спинальная мышечная атрофия), так и более редкие (лопаточно-перонеальная ПМД, дистальная ПМД, пароксизмальная миоплегия, дистальная спинальная амиотрофия), имели типичные для этих форм клинико-генетические характеристики. Нами была выявлена и необычная Х-сц. ПМД с началом в юношеском возрасте, медленным прогрессированием и поражением исключительно мышц спины и рук, которая предположительно (семья нуждается в дообследовании) относится к очень редкой форме ПМД [9]. В случае врожденной миопатии с контрактурами тип наследования был определен, так как среди врожденных миопатий представлены все типы наследования, нозологический же диагноз в большинстве случаев не может быть установлен без тонких патоморфологических исследований мышечной ткани.
Распространенность НБНС с преимущественным поражением пирамидно-мозжечковой системы (наследственные спастические параплегии и наследственные атаксии) составила 3,1 Наследственные спастические параплегии были представлены АД болезнью Штрюмпеля (так называемой чистой) и редкой формой АР наследственной спастической параплегии с перонеальными амиотрофиями [7] (проводилась дифференциальная диагностика наследственной моторно-сенсорной невропатии и пирамидной симптоматики). Нижний спастический парапарез был одним из проявлений, характеризовавшегося также умственной отсталостью, эпилепсией и врожденными катарактами, у 15-летней девочки. В доступной литературе мы не встретили аналогичного заболевания, однако единичный характер случая не позволяет достоверно констатировать новую форму патологии.
АР спастическую атаксию, клинические проявления которой явствуют из названия, в литературе относят как к осложненным наследственным спастическим параплегиям, так и к наследственным атаксиям. Это заболевание характеризуется этно-региональной равномерностью накопления (есть очаги накопления во франкоязычной канадской провинции Квебек, в арабских странах — спастическая атаксия бедуинов). Выявленные нами два случая в русских семьях, не связанные между собой, клинически различались; несмотря на высокий показатель распространенности, нет оснований констатировать истинное региональное накопление. Среди наследственных атаксий определялись редкий АР синдром Маринеску—Съегрена (сочетание мозжечковой атаксии с деменцией и катарактами), врожденная атаксия (эта непрогрессирующая форма атаксии, как пмазали методы прижизненной визуализации мозга, чаще обусловлена недоразвитием тех или иных отделов мозжечка).
Распространенность заболеваний с преимущественным поражением экстрапирамидной системы (хорея Гентингтона, торзионная дистония, болезнь Галлервордена—Шпатца) составила 1,79.
Среди наследственно-дегенеративных заболеваний ЦНС с началом в детском возрасте был выявлен случай ювенильного нейронального цероидного липофусциноза (болезнь Шпильмейера—Фогта) с типичной клинической картиной. Два случая прогрессирующей дегенерации ЦНС были расценены как лейкодистрофия (без верификации формы).
Так называемых финских болезней, встречающихся исключительно или преимущественно в Финляндии, к которым из НБНС относятся миоклонус-эпилепсия Унферрихта—Лундборга, мышечно-глазо-мозговой (МЕВ) синдром, младенческая форма нейронального цероидного липофусциноза, не выявлено.
Популяционно-генетические исследования в Республике Марий Эл еще не завершены, однако можно считать, что выявленные тенденции к отягощенности НБНС населения в целом и его основных этнических групп сохранятся.
About the authors
G. E. Rudenskaya
Laboratory of Population Genetics, Institute of Clinical Genetics, Medical Genetics Research Center, Russian Academy of Medical Sciences; Yoshkar-Ola Branch, Kazan State Medical University
Author for correspondence.
Email: info@eco-vector.com
Russian Federation, Moscow; Yoshkar-Ola
S. A. Klyushnikov
Laboratory of Population Genetics, Institute of Clinical Genetics, Medical Genetics Research Center, Russian Academy of Medical Sciences; Yoshkar-Ola Branch, Kazan State Medical University
Email: info@eco-vector.com
Russian Federation, Moscow; Yoshkar-Ola
I. S. Moshkina
Laboratory of Population Genetics, Institute of Clinical Genetics, Medical Genetics Research Center, Russian Academy of Medical Sciences; Yoshkar-Ola Branch, Kazan State Medical University
Email: info@eco-vector.com
Russian Federation, Moscow; Yoshkar-Ola
References




