Dynamics of ultrasound diagnostic examinations at various stages of medical care
- Authors: Galeev N.E.1
-
Affiliations:
- Emergency Hospital
- Issue: Vol 82, No 6 (2001)
- Pages: 471-472
- Section: Articles
- Submitted: 31.10.2021
- Accepted: 31.10.2021
- Published: 15.12.2001
- URL: https://kazanmedjournal.ru/kazanmedj/article/view/84445
- DOI: https://doi.org/10.17816/kazmj84445
- ID: 84445
Cite item
Full Text
Abstract
The dynamics of ultrasound diagnostic examinations at various stages of medical care in some regions of Russian Federation is studied. It is shown that with the most efficiency the ultrasound apparatus is used at the third stage of medical care (institutions of republic subordination), as well as at the second stage at the level of urban hospitals. In most cases hepatobiliar system (66,2%), urinogenital system (21,9%) and pelvis (on the whole in women — 50%) are examined.
Keywords
Full Text
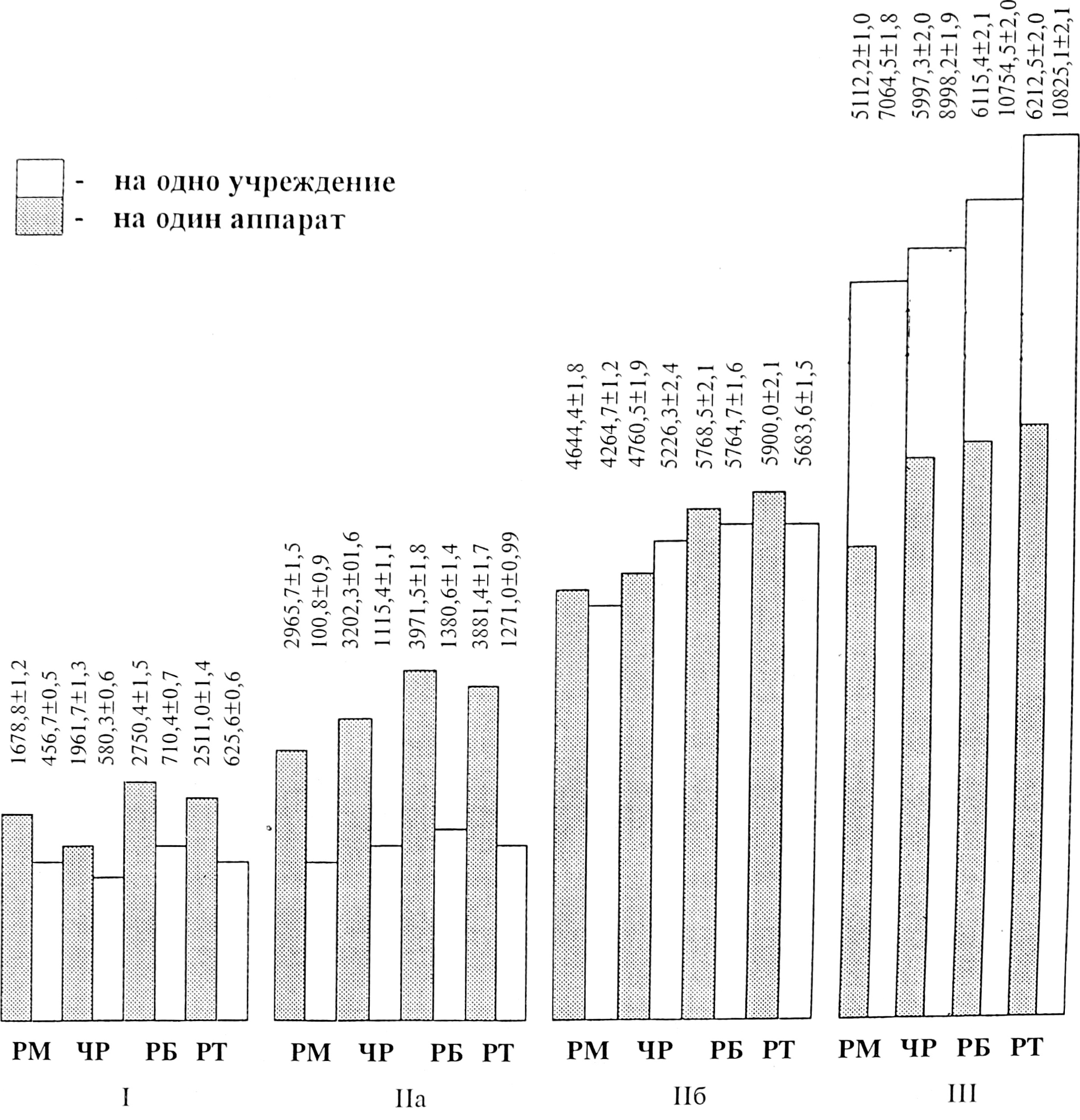
Нами изучены количественные и качественные показатели деятельности кабинетов УЗ исследований (УЗИ) на различных этапах оказания медицинской помощи в республиках Башкортостан, Марий Эл, Татарстан, Чувашской Республике.
На первом этапе оказания медицинской помощи населению количество УЗИ в лечебно-профилактических учреждениях изученных республик было в среднем незначительным — от 456,7±0,5 (в Марий Эл) до 625,6± 0,6 (в Татарстане), на втором этапе на уровне как ЦРБ, так и городских больниц оно было больше в 2—8 раз, на третьем — в 12—15 раз (см. рис.).
Рис. 1. Среднее количество УЗИ на различных этапах оказания медицинской помощи в республиках Татарстан (РТ), Башкортостан (РБ), Марий Эл (РМ) и Чувашии (4P), где I — первый этап оказания медицинской помощи, II — второй этап (а — уровень ЦРБ, б — уровень городских больниц), III — третий этап.
Достоверно больше исследований на одно учреждение проводится в городских больницах по сравнению с ЦРБ — соответственно от 4260,7± 1,2 до 5764,7± 1,6 и от 1110,8±0,98 до 1380,6±1,1 (Р<0,001; Р<0,001). Наибольшее количество УЗИ осуществляется в медицинских учреждениях, относящихся к третьему этапу, — от 7064,5± 1,8 до 10825,1±2,1.
Если по количеству исследований на одно учреждение этапы медицинской помощи отличаются друг от друга в десятки раз, то по количеству обследований, приходящихся на один аппарат, различия не столь велики. Так, показатели третьего этапа (от 5112,4± 1,0 до 6212,5±2,0), хотя и выше, чем второго на уровне городских больниц (от 4644,4±1,8 - Р<0,001 до 5900,0±2,1 - Р<0,001), однако различия в количестве исследований, приходящихся на одно учреждение, составляют 312—468 против 2800— 5142.
На первом, а частично и на втором этапе медицинской помощи количество УЗИ, приходящихся на один аппарат, примерно в 3 раза больше, чем обследований на одно учреждение. Вероятно, это объясняется тем, что компактные, небольшие по размерам аппараты УЗИ с успехом можно использовать в условиях, не требующих специальных мер защиты от радиации, а также энергетических коммуникаций, как при рентгенологических исследованиях.
Структура УЗИ имеет свои особенности. В большинстве случаев исследуют гепатобилиарную систему (66,2%), далее — мочеполовую (21,9%), органы малого таза, в основном у женщин (5,0 %).
Изучение структуры УЗИ по подразделениям больниц не выявило особенностей. Более 40 % исследований проводят в амбулаторных условиях. В стационарах основная масса исследований приходится на отделения терапевтического (до 50—60 %) и хирургического (40—50 %) профилей. В качестве примера приводим структуру УЗИ в Больнице скорой медицинской помощи г. Казани в 2000 г.: 43,8 % исследований приходится на хирургическое, 9,8 % — на кардиологическое, 4.5 % — на прочие отделения. Кроме того, 41,9 % исследований были проведены амбулаторным больным.
Таким образом, оценка динамики ультразвуковых диагностических исследований на различных этапах оказания медицинской помощи в изученных республиках Российской Федерации продемонстрировала, что с наибольшей эффективностью УЗ аппаратура используется на третьем этапе оказания медицинской помощи, а также на втором этапе на уровне городских больниц.
About the authors
N. E. Galeev
Emergency Hospital
Author for correspondence.
Email: info@eco-vector.com
Russian Federation, Kazan
References
Supplementary files



