Влияние факторов рабочего помещения на пользователей видеодисплейных терминалов
- Авторы: Фатхутдинова Л.М.1, Амиров Н.Х.1, Краснощекова В.Н.1
- 
							Учреждения: 
							- Казанский государственный медицинский университет
 
- Выпуск: Том 80, № 1 (1999)
- Страницы: 25-28
- Раздел: Статьи
- Статья получена: 15.04.2021
- Статья одобрена: 15.04.2021
- Статья опубликована: 15.01.1999
- URL: https://kazanmedjournal.ru/kazanmedj/article/view/65130
- DOI: https://doi.org/10.17816/kazmj65130
- ID: 65130
Цитировать
Полный текст
Аннотация
Факторы рабочей среды, воздействующие на пользователей видеодисплейных терминалов (ВДТ), условно можно разделить на две группы — связанные с работой за ВДТ и факторы рабочего помещения. Гигиеническая значимость факторов рабочего помещения определяется тем, что часто при помощи достаточно простых мер удается организовать эффективное управление состоянием внутренней среды помещений.
Ключевые слова
Полный текст
Факторы рабочей среды, воздействующие на пользователей видеодисплейных терминалов (ВДТ), условно можно разделить на две группы — связанные с работой за ВДТ и факторы рабочего помещения. Гигиеническая значимость факторов рабочего помещения определяется тем, что часто при помощи достаточно простых мер удается организовать эффективное управление состоянием внутренней среды помещений. Нами были изучены яркостно-контрастные соотношения в поле зрения, зависящие от организации освещения, расстановки оборудования, дизайна помещения, и эргономические характеристики рабочих мест. Было показано, что слишком большая разность яркостей в поле зрения [6, 9, 10], а также нерациональная организация рабочего места [5, 9, 10], приводящая к вынужденным рабочим позам, могут быть причинами жалоб работающих. Объективные подтверждения, основанные на изучении функциональных показателей, весьма немногочисленны и касаются лишь функций зрительного анализатора [6]. Данные о роли других факторов весьма противоречивы. Некоторыми исследователями было показано, что для рабочих мест с ВДТ характерны более высокая по сравнению с рекомендуемой температура и низкая относительная влажность воздуха [7, 10]. Имеются сообщения о нарушениях аэроионного баланса в помещениях с ВДТ [10]. Однако до сих пор не удалось связать неблагоприятный микроклимат и нарушения аэроионного баланса ни с субъективным дискомфортом, ни с какими-либо функциональными изменениями у работающих.
Данное исследование было предпринято с целью изучить роль факторов рабочего помещения в возникновении функциональных изменений у работающих с ВДТ.
В физиологическом эксперименте приняли участие 42 здоровых программиста (10 мужчин и 32 женщины) в возрасте от 23 до 45 лет (средний возраст — 32,9±0,9 года) со стажем работы за ВДТ от 21 до 188 месяцев (средний стаж — 81,6±6,9 мес). Все обследованные работали на одном и том же предприятии и выполняли примерно одинаковую по содержанию работу, заключавшуюся в создании и сервисном обслуживании баз данных. За день до эксперимента они проходили тренировочное обследование для исключения эффекта привыкания. Основное исследование проводили в первой половине рабочего дня до обеденного перерыва непосредственно на рабочем месте до и после сеанса работы за ВДТ. Длительность работы за ВДТ составляла 3 часа. Одновременно с изучением функционального состояния работающих оценивали факторы среды.
В ходе эксперимента измеряли систолическое и диастолическое АД (САД и ДАД) и частоту пульса (ЧП). Рассчитывали следующие гемодинамические индексы [3]: пульсовое давление (ПД), среднединамическое давление (СДД), ударный и минутный объемы кровообращения (УОК и МОК), периферическое сопротивление сосудов (ПСС) и вегетативный индекс Кердо (ВИК). На основании измеренных и рассчитанных гемодинамических индексов при помощи метода главных компонентов [1] определяли интегральные показатели — вегетативную регуляцию, сердечную деятельность и тип гемодинамической компенсации. Последние представляют из себя значения первых трех главных компонентов и объясняют соответственно 61,67%, 26,03% и 10,72% общей дисперсии признаков. Факторные нагрузки исходных показателей на выделенные главные компоненты (или, иными словами, коэффициенты корреляции исходных показателей с соответствующими главными компонентами), позволяющие дать содержательную интерпретацию интегральных показателей, приведены в табл. 1.
Таблица 1. Факторные нагрузки исходных гемодинамических индексов на полученные интегральные показатели
| Исходные индексы | Факторные нагрузки на интегральные показатели | ||
| вегетативная регуляция | сердечная деятельность | тип гемодинамической компенсации | |
| САД | 0,648 | -0,748 | -0,139 | 
| ДАД | 0,933 | -0,276 | -0,206 | 
| ПД | -0,073 | -0,872 | -0,470 | 
| СДД | 0,865 | -0,492 | 0,070 | 
| ЧП | -0,407 | -0,633 | 0,656 | 
| УОК | -0,882 | -0,163 | -0,423 | 
| МОК | -0,864 | -0,473 | 0,047 | 
| ПСС | 0,970 | 0,102 | -0,027 | 
| ВИК | -0,935 | -0,208 | 0,258 | 
Увеличение вегетативной регуляции связано с увеличением АД и периферического сопротивления сосудов. Ослабляется деятельность сердечной мышцы (уменьшается ударный объем кровообращения, урежается частота пульса и, как следствие, сокращается минутный объем кровообращения). В целом увеличение данного показателя можно рассматривать как неблагоприятный признак, свидетельствующий о нарушениях вегетативной регуляции сердечно-сосудистой системы.
Увеличение показателей сердечной деятельности положительно коррелирует с уменьшением значений практически всех гемодинамических показателей, за исключением периферического сопротивления сосудов, и свидетельствует об ослаблении сердечной деятельности. Увеличение показателей гемодинамической компенсации положительно коррелирует с падением систолического АД и уменьшением ударного объема кровообращения. При этом увеличение частоты пульса позволяет сохранять практически неизменным минутный объем кровообращения. Уменьшение же этого показателя свидетельствует о том, что минутный объем кровообращения сохраняется за счет другого механизма компенсации с включением силовых, а не скоростных свойств сердечной мышцы. Помимо сердечно-сосудистой системы изучалось также состояние глазодвигательного аппарата глаз посредством определения гетерофорий способом Maddox’a [8].
Измеряли уровни следующих факторов рабочего помещения: температуру, относительную влажность и скорость движения воздуха с последующим определением эффективных температур [2], число положительных и отрицательных легких аэроионов с последующим расчетом коэффициента полярности, яркость экрана, ближнего (документ, клавиатура) и дальнего полей зрения с расчетом контрастных соотношений. Кроме того, определяли такие эргономические характеристики рабочих мест, как высоту стола над уровнем пола, высоту сидения над уровнем пола, высоту нижнего края спинки стула над уровнем сидения, а также угол зрительного наблюдения верхней точки экрана. Эргономические характеристики соотносили с антропометрическими данными работающих.
Значения физиологических показателей до работы и после нее сравнивали при помощи критерия Стьюдента и однофакторного дисперсионного анализа для зависимых выборок. Для изучения связи между факторами рабочей среды и динамикой показателей функционального состояния использовали однофакторный нелинейный регрессионный анализ, а также однофакторный дисперсионный анализ. Для компьютерного анализа результатов исследования применяли программный пакет STATISTICA for Windows (версия 5.0).
Динамика изучавшихся показателей функционального состояния за сеанс работы с ВДТ приведена в табл. 2.
Таблица 2. Значения показателей функционального состояния до и после работы за ВДТ
| Показатели | До работы (М±m) | После работы (М±m) | P | 
| Вегетативная регуляция, уел. ед. | -0,714±0,302 | О,513±О,363 | <0,05 | 
| Сердечная деятельность, уел. ед. | -0,518±0,203 | 0,351±0,224 | <0,05 | 
| Тип гемодинамической компенсации, усл. ед. | 0,199±0,165 | -0,348±0,145 | <0,05 | 
| Фория на расстоянии 33 см, угл. гр. | -2,77±0,46 | -2,32±0,47 | <0,1 | 
Изучение интегральных гемодинамических индексов показало следующее: при работе за ВДТ нарушалась вегетативная регуляция деятельности сердечно-сосудистой системы, что вело к ослаблению сердечной деятельности и одновременно к блокированию наиболее рационального в данной ситуации механизма поддержания минутного объема кровообращения за счет скоростных свойств сердечной мышцы. При изучении функций зрительного анализатора была отмечена тенденция к сдвигу в сторону уменьшения экзофории, что свидетельствует о развитии напряжения глазодвигательного аппарата.
Изучение параметров микроклимата показало, что температура, как правило, была выше (71,9% рабочих мест), а относительная влажность ниже (82,7% рабочих мест) установленных норм [4]. Значения эффективных температур превышали верхнюю границу зоны комфорта + 17,2...+21,7 [2] в 14% случаев. Для 25% пользователей ВДТ коэффициент полярности не соответствовал нормируемым значениям [4]: в 15% случаев индекс был меньше -0,5 и в 10% случаев — больше 0,05. Контрасты “экран — ближнее поле зрения” превышали рекомендуемый уровень в соотношении 10:1 [4] в 10% случаев, а контрасты “экран — дальнее поле зрения” — в 25,6%. Высота рабочей поверхности не соответствовала росту обследованных в 84,6% случаев, а высота сидения — в 33,3%. 48,7% работающих не имели опоры в поясничной области. У 53,5% работающих взгляд был обращен вверх.
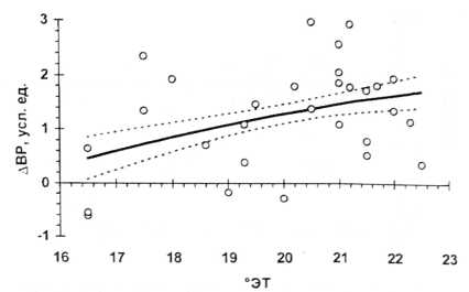
При проведении однофакторного регрессионного анализа оказалось, что чем выше были эффективные температуры, тем большим было увеличение показателей вегетативной регуляции (рис. 1).
Рис. 1. Зависимость изменений показателей вегетативной регуляции (∆ВР) от величины эффективной температуры (ЭТ). Регрессионная кривая ВР=5,146-77,25/ЭТ с доверительными интервалами наложена на исходные точки.
Кроме того, неблагоприятный микроклимат влиял на мышечный баланс двигательного аппарата глаз: при крайних значениях эффективных температур наблюдался эзофорический сдвиг (рис. 2).
Рис. 2. Зависимость изменений мышечного баланса глаз (∆Ф) от величины эффективной температуры (ЭТ). Регрессионная кривая ∆Ф=-773,5+123,2*ЭТ-6,51*(ЭТ)2+0,141*(ЭТ)3 с доверительными интервалами наложена на исходные точки.
Изменения показателей функционального состояния никак не зависели от относительной влажности воздуха. Что касается аэроионного баланса, то чем больше был показатель полярности, то есть относительное преобладание положительных аэроионов над отрицательными, тем большим было уменьшение показателей гемодинамической компенсации (рис. 3).
Рис. 3. Зависимость изменений показателей типа гемодинамической компенсации (∆ТГК) от величины показателя полярности (П). Регрессионная кривая ∆ТГК=-0,918—1,26*П с доверительными интервалами наложена на исходные точки.
Ранее производственному микроклимату и аэроионному составу воздуха либо не придавалось большого значения, либо исследователи ограничивались выдвижением гипотез о возможном их влиянии. Настоящее исследование показало важную роль данных факторов. Использование физиологических критериев позволило не только выявитьроль микроклимата и аэроионного баланса помещений, но и объективно подтвердить тот факт, что чрезмерные перепады яркостей в поле зрения и нерациональная организация рабочего места неблагоприятно влияют на функциональное состояние пользователей ВДТ.
Рис. 4. Зависимость изменений показателей вегетативной регуляции (∆ВР) от величины контраста “экран—дальнее поле зрения” (СЭ/ДП). Регрессионная кривая ∆ВР=0,782+0,054*СЭ/ДП с доверительными интервалами наложена на исходные точки.
Так, оказалось, что чем больше были перепады яркости в поле зрения, тем больше увеличивались показатели вегетативной регуляции (рис. 4) и тем больше уменьшались параметры типов гемодинамической компенсации (рис. 5).
Рис. 5. Зависимость изменений показателей типа гемодинамической компенсации (∆ТГК) от величины контраста “экран—ближнее поле зрения” (Сэ/бп.). Регрессионная кривая ∆ТГК = -1,278+ 2,143/Сэ/бп с доверительными интервалами наложена на исходные точки.
Кроме того, увеличение показателей вегетативной регуляции было достоверно больше у лиц, рост которых не соответствовал высоте сидения, — F(35)=4,648 (Р< 0,001).
Выводы
- В помещениях, где находятся видеодисплейные терминалы, часто регистрируются повышенная температура и низкая относительная влажность воздуха, имеются нарушения аэроионного баланса, большие перепады яркостей в поле зрения, а также несоответствие параметров рабочих мест антропометрическим размерам работающих.
- С использованием объективных физиологических критериев подтверждена роль яркостно-контрастных соотношений и эргономических характеристик рабочего места в развитии функциональных нарушений у пользователей видеодисплейных терминалов.
- Доказана роль производственного микроклимата и аэроионного состава воздуха помещений в развитии нарушений вегетативной регуляции сердечнососудистой системы, а также в утомлении глазодвигательного аппарата.
Исследование выполнено при поддержке Российского гуманитарного научного фонда (проект № 98-06-08037).
Об авторах
Л. М. Фатхутдинова
Казанский государственный медицинский университет
							Автор, ответственный за переписку.
							Email: info@eco-vector.com
				                					                																			                								
Кафедра гигиены и медицины труда, Курс экологии последипломного образования
Россия, КазаньН. Х. Амиров
Казанский государственный медицинский университет
														Email: info@eco-vector.com
				                					                																			                								
Кафедра гигиены и медицины труда, курс экологии последипломного образования
Россия, КазаньВ. Н. Краснощекова
Казанский государственный медицинский университет
														Email: info@eco-vector.com
				                					                																			                								
Кафедра гигиены и медицины труда, курс экологии последипломного образования
Россия, КазаньСписок литературы
- Владимирский Б.М. Математические методы в биологии. — Ростов, 1983.
- Новожилов Г.Н., Ломов О.П. Гигиеническая оценка микроклимата. — М., 1987.
- Практикум по физиологии труда: Учеб. пособие/ Дорошенко В.А., Осипова О.В., Павлова Л.П. и др./Под ред. А.С. Батуева. — Л., 1986.
- СанПиН 2.2.2.542-96. Гигиенические требования к видеодисплейным терминалам, персональным электронно-вычислительным машинам и организации работы. — М., 1996.
- Bergqvist U., Wolgast Е., Nilsson В., Voss M. // Ergonomics. — 1995.— Vol.38. — P.763—776.
- Gobba F.M., Broglia A., Sarii R. et al. // Int.Arch. Occup. Environ. Health. — 1988. — Vol. 60. — P. 81-87.
- Mauli F, Belluci R. // Ergonomics and health in modern offices/Ed. by E. Grandjean E. — London, 1984.
- Millodot M. Dictionary of optometry. — London, 1986.
- Nishiyama K. // Ergonomics. — 1990. — Vol.33. — P.659-685.
- Visual display terminals and workers’ health. WHO offset publication No.99. — Geneva: World Health Organization, 1987.
Дополнительные файлы
 
				
			 
						 
					 
									
 
  
  
 







