Динамика печёночных проб у беременных с гепатитом неинфекционного генеза при назначении адеметионина
- Авторы: Гараева К.Г.1
-
Учреждения:
- Научно-исследовательский институт акушерства и гинекологии
- Выпуск: Том 101, № 2 (2020)
- Страницы: 296-303
- Раздел: Обмен клиническим опытом
- Статья получена: 07.04.2020
- Статья опубликована: 13.04.2020
- URL: https://kazanmedjournal.ru/kazanmedj/article/view/26279
- DOI: https://doi.org/10.17816/KMJ2020-296
- ID: 26279
Цитировать
Полный текст
Аннотация
Цель. Изучение влияния адеметионина на динамику биохимических маркёров заболевания печени у беременных с гепатитом неинфекционной этиологии.
Методы. К исследованиям были привлечены 19 беременных с гепатитом неинфекционной (5 — алкогольной, 7 — лекарственной, 7 — алиментарной) этиологии. Для сравнения использовали анамнез предыдущих беременностей у этих же женщин. Для отслеживания функционального состояния печени в крови женщин определяли содержание аспартатаминотрансферазы, аланинаминотрансферазы, щелочной фосфатазы и общего билирубина с использованием наборов реактивов производства HUMAN на микроанализаторе BIOSKREM MS 2000 (США). Обследование беременных проводили непосредственно после взятия на учёт, в конце I и II триместров беременности.
Результаты. Согласно нашему наблюдению, у беременных с повышенным содержанием аспартатаминотрансферазы, аланинаминотрансферазы, щелочной фосфатазы и общего билирубина в крови чаще фиксировали случаи патологического развития плода. Применение лекарственных препаратов на основе адеметионина способствовало положительной динамике печёночных проб. Это касалось случаев лекарственного и алиментарного гепатита, при алкогольном гепатите положительная динамика не имела достоверного подтверждения.
Вывод. Назначение адеметионина беременным с поражением печение неинфекционного генеза может положительно влиять как на биохимические показатели состояния печени, так и, возможно, на формирование плода.
Полный текст
На здоровье человека, в том числе и репродуктивное, в современной мире, особенно в индустриально развитых странах, существенное влияние оказывают загрязнение окружающей среды техногенными факторами, повышенный уровень стресса, малоподвижный образ жизни, чрезмерное и несбалансированное питание, злоупотребление алкоголем и наркотиками, бесконтрольное и необоснованное применение лекарственных препаратов и т.д. [1–4]. Печень — орган, который принимает на себя первый удар, обезвреживая и выводя из организма токсичные метаболиты и ксенобиотики [5]. Все перечисленные выше неблагоприятные для организма воздействия — этиологические факторы, обусловливающие токсическое повреждение печени, а одновременное действие нескольких факторов потенцирует эффект каждого и усиливает повреждение гепатоцитов [6, 7].
Гепатиты неинфекционного генеза широко распространены и нередко встречаются у женщин репродуктивного возраста. В период беременности печени приходится выполнять дополнительную работу, связанную с детоксикацией продуктов жизнедеятельности плода. На фоне гепатита постоянная и чрезмерная нагрузка на печень приводит к ещё большему поражению гепатоцитов, при этом в крови повышается содержание аспартатаминотрансферазы (АСТ), аланинаминотрансферазы (АЛТ), щелочной фосфатазы и общего билирубина [8].
Поражение гепатоцитов приводит к снижению их детоксикационной функции и накоплению токсичных продуктов в органах, в том числе и репродуктивных, с негативным влиянием на их функциональное состояние. Одновременно в циркулирующей крови повышается содержание ксенобиотиков и их метаболитов, что повышает риск их прохождения через плацентарный барьер, а это в свою очередь может приводить к перинатальной патологии и развитию пороков плода у беременных [8].
В связи с этим для акушерства и гинекологии актуальность приобретает разработка методик, с помощью которых можно прогнозировать нормальность течения беременности и состояния плода у женщин с неинфекционным гепатитом, а также методов профилактики осложнений беременности у этих женщин.
Исходя из этиологических факторов, неинфекционный гепатит разделяют на алкогольный, токсический и лекарственный. Несмотря на различие этиопатогенетических факторов, диагностическими маркёрами во всех случаях служит повышенное содержание АСТ, АЛТ, щелочной фосфатазы и общего билирубина — печёночная проба, характеризующая состояние печени.
Цель работы — изучение влияния адеметионина на динамику биохимических маркёров заболевания печени у беременных с гепатитом неинфекционной этиологии.
В группу наблюдения были отобраны 19 беременных с гепатитом неинфекционной этиологии. У 5 женщин был поставлен диагноз гепатита алкогольной этиологии, у 7 — лекарственной, у 7 — алиментарной этиологии. Средний возраст беременных составил 27,05±0,7 года.
Критерии включения пациенток в исследование:
– репродуктивный возраст (21–35 лет);
– беременность более 8 нед;
– гепатит неинфекционного генеза (лекарственный, алкогольный, алиментарный).
Критерии исключения беременных из исследования:
– беременность менее 8 нед;
– хронические заболевания других органов и систем в стадии декомпенсации;
– наличие у пациенток хронического заболевания печени инфекционного, аутоиммунного генеза, болезнь Вильсона, первичного билиарного цирроза печени.
В ходе проспективного наблюдения были изучены особенности течения беременности, родов и перинатальные исходы. Всем беременным был назначен препарат на основе адеметионина, участвующий в защите клеток печени от фиброобразования и способствующий регенерации печени. Препарат назначали внутрь в течение 2 мес в дозе 800 мг/сут.
Исследование проводили в соответствии с принципами Хельсинкской декларации. Оно одобрено этическим комитетом Научно-исследовательского института акушерства и гинекологии (протокол №3 от 10.02.2017). Участие женщин было добровольным и конфиденциальным.
Содержание общего билирубина, активность ферментов — АСТ, АЛТ и щелочной фосфатазы — в крови определяли с использованием наборов реактивов производства HUMAN на микроанализаторе BIOSKREM 2000 (США). Всем беременным для определения состояния плода, а также состояния печени проводили ультразвуковое исследование на аппарате Samsung Medison Accuvix А30 в реальном масштабе времени. У всех беременных было исключено наличие инфекционных гепатитов В и С.
Для сравнения эффективности проводимой нами терапии адеметионином полученные результаты сопоставляли с анамнезом течения и завершения беременности у тех же женщин, у которых в период предыдущей беременности (2–5 лет назад) был поставлен диагноз неинфекционного гепатита, но от лечения они отказались. Следует отметить, что возраст всех пациенток был в пределах 22–35 лет, повторная беременность произошла через 2–5 лет после предыдущей беременности. У 5 (34%) женщин был диагностирован гепатит алкогольного происхождения, у 7 (46%) — лекарственного, у 3 (20%) — алиментарного происхождения до предыдущей беременности.
Статистическая обработка данных. Распределение выборок не подчинялось нормальному закону. Полученные данные в ходе исследования подвергли статистической обработке непараметрическими методами вариационного (критерии Уилкоксона и Манна–Уитни), дискриминантного анализа (критерий Пирсона χ2) и ROC-анализа с помощью статистических пакетов MS Excel 2016 и IBM Statistics SPSS-22. Статистически значимыми считали различия при р <0,05.
У наблюдаемых беременных возраст менархе составил 13,6±1,2 года, в анамнезе на нарушение менструального цикла не указывала ни одна женщина. Среднее количество гинекологических заболеваний на одну пациентку составило 4,6±0,8. Из анамнеза: у 11 (55%) был обнаружен кольпит, у 5 (25%) — хламидиоз, у 1 (5%) — миома матки, у 14 (70%) — эрозия шейки матки и эндоцервицит, у 9 (45%) — хронический эндометрит и сальпингоофорит. Рассмотрена экстрагенитальная патология, сопутствующая настоящей беременности. У всех беременных установлена железодефицитная анемия: I–II степени — у 95%, III степени — у 1 (5%). Кроме того, 3 (15%) беременные страдали ожирением, 5 (25%) — дефицитом массы тела, 2 (10%) — хроническим пиелонефритом, 1 (5%) — миопией, 3 (15%) — хроническим холециститом.
В число первородящих входили 4 женщины (21,05%), повторнородящих — 15 (78,95%). Первичная явка на диспансерный учёт в женскую консультацию до 12 нед составила 65%. В крови беременных, поставленных на учёт, среднее содержание АСТ, АЛТ, щелочной фосфатазы и общего билирубина по сравнению с верхней границей лабораторной нормы (АСТ <31 ед./л, АЛТ <34 ед./л, щелочная фосфатаза 64–306 ед./л, общий билирубин <1,1 мг/дл) было повышенным.
В группе пациенток с гепатитом алкогольной этиологии (5 человек) содержание АСТ в крови до начала лечения адеметионином составляло 61±5,3 ед./л, превышая верхние границы лабораторных норм на 97%; содержание АЛТ — 71±5,5 ед./л, превышая верхние границы лабораторных норм на 109%; содержание щелочной фосфатазы — 464±43,9 ед./л, превышая верхние границы лабораторных норм на 55%; содержание общего билирубина — 2,14±0,25 мг/дл, превышая верхние границы лабораторных норм на 94,5%.
После проведённого лечения адеметионином в конце I триместра беременности прослеживалась тенденция к снижению количества исследуемых маркёров поражения печени: содержание АСТ понизилось до 55,8±5,7 ед./л, снизившись на 8,5%; АЛТ — до 66,8±6,3 ед./л, снизившись на 6%; щелочной фосфатазы — до 448±48,1 ед./л, снизившись на 3%; общего билирубина — до 1,94±0,28 мг/дл, снизившись на 9%. Все полученные данные статистической достоверностью не обладали, р >0,05 (табл. 1). Однако, как видно из полученных данных, несмотря на тенденцию к снижению в целом, показатели изучаемых показателей оставались повышенными по сравнению с верхней границей референсных значений: АСТ — на 80%, АЛТ — на 96%, щелочная фосфатаза — на 47%, общий билирубин — на 76%.
Таблица 1. Динамика изменения маркёров поражения печени у беременных с гепатитом алкогольной этиологии на фоне применения адеметионина (n=5)
Параметры | АСТ, ед./л | АЛТ, ед./л | ЩФ, ед./л | ОБ, мг/дл | |
До лечения | Медиана | 63,0 | 75,0 | 480,0 | 2,10 |
25-й перцентиль | 50,0 | 60,0 | 390,0 | 1,70 | |
75-й перцентиль | 69,0 | 78,0 | 500,0 | 2,60 | |
I триместр | Медиана | 60,0 | 70,0 | 470,0 | 1,90 |
25-й перцентиль | 45,0 | 53,0 | 360,0 | 1,40 | |
75-й перцентиль | 65,0 | 75,0 | 480,0 | 2,30 | |
p0 | 0,402 | 0,402 | 0,599 | 0,53 | |
II триместр | Медиана | 49,0 | 60,0 | 380,0 | 1,70 |
25-й перцентиль | 36,0 | 44,5 | 310,0 | 1,25 | |
75-й перцентиль | 61,5 | 76,0 | 445,0 | 2,25 | |
p0 | 0,176 | 0,327 | 0,142 | 0,323 | |
p1 | 0,268 | 0,462 | 0,142 | 0,712 | |
Примечание. Статистическая значимость различий с показателями (по Уилкоксону и Манну–Уитни): p0 — достоверность изменения показателей в I триместре по сравнению с исходными данными (показатель до начала лечения); p1 — достоверность изменения показателей во II триместре по сравнению с исходными данными (показателями до начала лечения); АСТ — аспартатаминотрансфераза; АЛТ — аланинаминотрансфераза; ЩФ — щелочная фосфатаза; ОБ — общий билирубин.
В конце II триместра в крови содержание этих маркёров на фоне лечения адеметионином продолжало понижаться (см. табл. 1). При этом среднее содержание АСТ в крови определялась в пределах 48,8±7,4 ед./л и превышало верхние границы лабораторной нормы уже всего на 57%; АЛТ — 60,3±9,3 ед./л, превышая верхние границы лабораторной нормы на 77%; щелочной фосфатазы — 377,5±39,2 ед./л, превышая верхние границы лабораторной нормы на 26%; общего билирубина — 1,75±0,34 мг/дл, превышая верхние границы лабораторной нормы на 59%. Изменения изучаемых показателей в этот период также не обладали статистической достоверностью, р >0,05 (см. табл. 1).
В этой группе у 1 (20%) женщины беременность на 30-й неделе завершилась преждевременными родами, у 1 (20%) беременной на 26-й неделе беременность завершилась мертворождением, у 3 беременных произошли нормальные роды в срок от 37 до 40 нед. Из 3 (60%) новорождённых, родившихся в срок от 37 до 40 нед, у 1 (20%) был обнаружен дефект межжелудочковой перегородки, у 1 (20%) — незаращение твёрдого нёба. Только 1 (20%) новорождённый родился здоровым. По представленным данным нельзя делать заключений, но можно констатировать тенденцию к неблагополучному протеканию беременности для плода.
У 7 беременных был выявлен гепатит лекарственной этиологии. Причиной лекарственного гепатита у 5 (71,4%) беременных был приём в течение продолжительного времени антигистаминных препаратов, у 2 (28,6%) — после применения тетрациклина. Следует отметить, что указанные лекарственные препараты пациентки принимали до беременности.
Среднее содержание АСТ в крови этих беременных до начала лечения адеметионином составляло 60,57±2,6 ед./л, АЛТ — 69,85±3,0 ед./л, щелочной фосфатазы — 482,85±34,0 ед./л, общего билирубина — 1,56±0,18 мг/дл. Эти показатели превышали верхние границы лабораторных норм: АСТ — на 95%, АЛТ — на 105%, щелочная фосфатаза — на 53%, общий билирубин — на 41,5%.
После назначения адеметионина в конце I триместра беременности исследуемые показатели по результатам лабораторных анализов имели следующие средние значения: АСТ — 52,28±3,3 ед./л, снизившись на 14%; АЛТ — 61,6±3,7 ед./л, снизившись на 12%; щелочная фосфатаза — 427,14±36,9 ед./л, снизившись на 11,5%; общий билирубин — 1,34±0,16 мг/дл, снизившись на 14%. Наблюдаемое снижение показателей статистической достоверностью не обладало, р >0,05 (табл. 2). Однако, несмотря на положительную динамику, изучаемые показатели не доходили до верхних границ нормативных значений и превышали их на 65, 81, 42 и 22% соответственно.
Положительный эффект от проводимой терапии к концу II триместра имел ещё более выраженные значения (см. табл. 2): содержание АСТ в крови снижалось до 40,5±7,4 ед./л (р <0,05), превышая верхние границы нормальных значений на 31%; АЛТ — до 50,16±9,3 ед./л, (р <0,05), превышая верхние границы нормальных значений на 47,5%; щелочной фосфатазы — до 396,66±3,3 ед./л (р >0,05), превышая верхние границы нормальных значений на 32%, общего билирубина — до 1,2±0,34 мг/дл (р >0,05), превышая верхние границы нормальных значений на 9%.
Таблица 2. Динамика изменения маркёров поражения печени у беременных с гепатитом лекарственной этиологии на фоне лечения адеметионином (n=7)
Параметры | АСТ, ед./л | АЛТ, ед./л | ЩФ, ед./л | ОБ, мг/дл | |
До лечения | Медиана | 63,0 | 75,0 | 480,0 | 2,10 |
25-й перцентиль | 50,0 | 60,0 | 390,0 | 1,70 | |
75-й перцентиль | 69,0 | 78,0 | 500,0 | 2,60 | |
I триместр | Медиана | 60,0 | 70,0 | 470,0 | 1,90 |
25-й перцентиль | 45,0 | 53,0 | 360,0 | 1,40 | |
75-й перцентиль | 65,0 | 75,0 | 480,0 | 2,30 | |
p0 | 0,84 | 0,096 | 0,249 | 0,405 | |
II триместр | Медиана | 49,0 | 60,0 | 380,0 | 1,70 |
25-й перцентиль | 36,0 | 44,5 | 310,0 | 1,25 | |
75-й перцентиль | 61,5 | 76,0 | 445,0 | 2,25 | |
p0 | 0,004 | 0,012 | 0,197 | 0,173 | |
p1 | 0,032 | 0,1 | 0,617 | 0,517 | |
Примечание. Статистическая значимость различий с показателями (по Уилкоксону и Манну–Уитни): p0 — достоверность изменения показателей в I триместре по сравнению с исходными данными (показатель до начала лечения); p1 — достоверность изменения показателей во II триместре по сравнению с исходными данными (показателями до начала лечения); АСТ — аспартатаминотрансфераза; АЛТ — аланинаминотрансфераза; ЩФ — щелочная фосфатаза; ОБ — общий билирубин.
У наблюдаемых нами пациенток данной подгруппы преобладали роды через естественные родовые пути — 5 человек, но только у 2 женщин роды произошли в нормальный срок (38–40 нед). У 1 женщины беременность завершилась самопроизвольным выкидышем на сроке 19 нед. Из 6 новорождённых у 2 была выявлена внутриутробная патология: экстрофия мочевого пузыря, атрезия начального отдела двенадцатиперстной кишки в области его соединения с желудком. Новорождённые были переведены в хирургическое отделение для коррекции пороков развития.
У 7 беременных с гепатитом алиментарной этиологии (табл. 3) до начала лечения адеметионином среднее содержание АСТ в крови составляло 41,5±2,1 ед./л, превышая верхние пределы нормальных лабораторных значений на 35%; АЛТ — 51,28±2,6 ед./л, превышая верхние пределы нормальных лабораторных значений на 51%; щелочной фосфатазы — 388,57±11,4 ед./л, превышая верхние пределы нормальных лабораторных значений — на 29,5%; общего билирубина — 1,54±0,12 мг/дл, превышая верхние пределы нормальных лабораторных значений на 40%.
Таблица 3. Динамика изменения маркёров поражения печени у беременных с гепатитом алиментарной этиологии на фоне применения адеметионина (n=7)
Параметры | АСТ, ед./л | АЛТ, ед./л | ЩФ, ед./л | ОБ, мг/дл | |
До лечения | Медиана | 40,0 | 50,0 | 390,0 | 1,50 |
25-й перцентиль | 38,0 | 46,0 | 360,0 | 1,30 | |
75-й перцентиль | 49,0 | 57,0 | 420,0 | 1,80 | |
I триместр | Медиана | 33,0 | 42,0 | 360,0 | 1,30 |
25-й перцентиль | 30,0 | 35,0 | 320,0 | 1,00 | |
75-й перцентиль | 40,0 | 50,0 | 400,0 | 1,50 | |
p0 | 0,034 | 0,158 | 0,107 | 0,222 | |
II триместр | Медиана | 30,0 | 37,0 | 315,0 | 1,10 |
25-й перцентиль | 25,0 | 32,0 | 290,0 | 1,00 | |
75-й перцентиль | 32,0 | 45,0 | 340,0 | 1,25 | |
p0 | 0,017 | 0,047 | 0,005 | 0,029 | |
p1 | 0,203 | 0,250 | 0,071 | 0,321 | |
Примечание. Статистическая значимость различий с показателями (по Уилкоксону и Манну–Уитни): p0 — достоверность изменения показателей в I триместре по сравнению с исходными данными (показатель до начала лечения); p1 — достоверность изменения показателей во II триместре по сравнению с исходными данными (показателями до начала лечения); АСТ — аспартатаминотрансфераза; АЛТ — аланинаминотрансфераза; ЩФ — щелочная фосфатаза; ОБ — общий билирубин.
После приёма адеметионина к концу I триместра у беременных среднее содержание в крови АСТ снизилось до 34,0±1,8 ед./л (на 19%; р <0,05), АЛТ — до 44,3±3,4 ед./л (на 14%), щелочной фосфатазы — до 355,7±13,4 ед./л (на 8%), общего билирубина — до 1,32±0,13 мг/дл (на 15%).
Однако, несмотря на указанную положительную динамику, по сравнению с верхними границами нормальных значений содержание в крови АСТ оставалось повышенным на 10%, АЛТ — на 30%, щелочной фосфатазы — на 19%, общего билирубина — на 20%.
К концу II триместра на фоне лечения адеметионином среднее содержание АСТ в крови пациенток этой группы снижалось до 29,0±2,1 ед./л, что находится в пределах референсных значений; АЛТ — до 38,5±4,3 ед./л, при этом превышая верхние границы нормальных значений на 13%; щелочной фосфатазы — до значений 315,0±13,4 ед./л, превышая верхний предел нормы на 5%; содержание общего билирубина определялось в пределах 1,13±0,07 мг/дл, что выше верхних границ нормы всего на 2%. В этой группе изменения всех показателей статистически значимы (р <0,05; см. табл. 3).
В данной группе у 5 беременных произошли срочные роды через естественные родовые пути, у 1 — преждевременные роды на сроке 32 нед, у 1 — самопроизвольный выкидыш на 19-й неделе беременности. Из 6 новорождённых 1 родился с малой массой тела, 5 новорождённых — без отклонений от нормы.
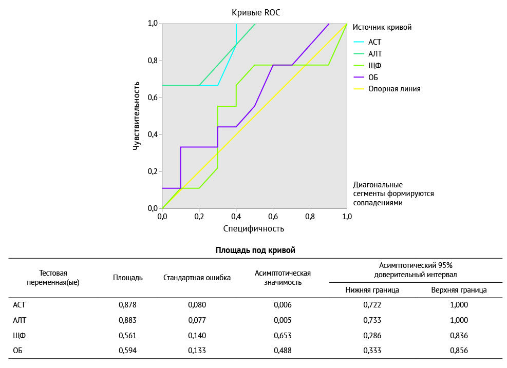
Для выяснения прогностической значимости изученных маркёров результаты подвергали ROС-анализу, результаты которого представлены на рис. 1. Этот анализ, основанный на бинарной классификации, показывает, что чем более отдалена линия изучаемого показателя от опорной линии, тем более чувствителен и специфичен данный показатель.
Рис. 1. Результаты ROС-анализа прогностической значимости печёночных проб при беременности у женщин с гепатитом неинфекционного генеза (n=19); АСТ — аспартатаминотрансфераза; АЛТ — аланинаминотрансфераза; ЩФ — щелочная фосфатаза; ОБ — общий билирубин
Весь контингент беременных был разделён на две группы: 10 женщин, у которых беременность проходила без патологии, и 9 женщин, у которых выявлены отклонения в течении беременности и развития плода.
Исходные данные (до применения адеметионина) показателей содержания в крови АСТ, АЛТ, щелочной фосфатазы и общего билирубина были включены в бинарную классификацию для изучения прогностической значимости их в прогнозировании осложнений беременности. Как видно из рис. 1, площадь ROС-кривой для АСТ S=0,878±0,080, асимптотический доверительный интервал (ДИ) 0,722–1,000; р=0,006. Площадь ROС-кривой для АЛТ S=0,883±0,077, ДИ 0,733–1,000; р=0,005. Для щелочной фосфатазы S=0,561±0,140, ДИ 0,286–0,836; р=0,653. Для общего билирубина S=0,594±0,133, ДИ 0,333–856; р=0,488. Как видно из результатов, именно кривые АЛТ и АСТ наиболее отдалены от опорной линии, что свидетельствует о высокой специфичности и чувствительности изменений этих показателей для прогнозирования патологии у беременных с неинфекционным гепатитом.
Результаты ROС-анализа показали, что повышение содержания в крови АЛТ, АСТ, щелочной фосфатазы и общего билирубина у беременных может иметь прогностическое значение для прогнозирования течения беременности без осложнений вне зависимости от этиологии неинфекционного гепатита.
В нашем наблюдении применение адеметионина у беременных с неинфекционным гепатитом способствовало положительной динамике печёночных проб. При гепатитах алкогольной этиологии заболевания печени эта динамика была незначительной, беременность протекала с осложнениями (4 из 5 случаев).
При гепатитах лекарственной этиологии снижение содержания АЛТ и АСТ оказалось более выраженным (р <0,05), в 42,9% случаев беременность протекала с осложнениями.
При алиментарных гепатитах на фоне лечения адеметионином все четыре изучаемых показателя достоверно снижались, осложнения беременности развивались в 28,6% случаев.
Далее мы сопоставили развитие осложнений беременности и концентрацию маркёров поражения печени у беременных с неинфекционным гепатитом (табл. 4).
Таблица 4. Развитие осложнений в зависимости от концентрации маркёров поражения печени у беременных с неинфекционным гепатитом (n=15)
Параметры | АСТ, ед./л | АЛТ, ед./л | ЩФ, ед./л | ОБ, мг/дл | ||
Осложнение | нет | Медиана | 45,0 | 55,5 | 395,0 | 1,60 |
25-й перцентиль | 39,0 | 48,0 | 370,0 | 1,30 | ||
75-й перцентиль | 55,0 | 62,0 | 500,0 | 2,00 | ||
есть | Медиана | 64,0 | 75,0 | 460,0 | 1,70 | |
25-й перцентиль | 50,0 | 62,0 | 400,0 | 1,50 | ||
75-й перцентиль | 69,0 | 78,0 | 490,0 | 2,10 | ||
p | 0,005 | 0,005 | 0,652 | 0,486 | ||
Примечание. р — статистическая значимость различий между показателями сравниваемых групп (по Уилкоксону и Манну–Уитни); АСТ — аспартатаминотрансфераза; АЛТ — аланинаминотрансфераза; ЩФ — щелочная фосфатаза; ОБ — общий билирубин.
С целью оценки влияния адеметионина на течение беременности нами был проведён сравнительный анализ результатов течения предыдущей и настоящей беременности у беременных повторно пациенток из числа включённых в данное исследование — 15 женщин. Был собран тщательный анамнез по течению первой беременности. Выяснилось, что в период первой беременности из 15 повторнородящих женщин все 15 страдали неинфекционным гепатитом, но не получали соответствующего лечения для улучшения состояния печени. Из них у 5 (34%) был диагностирован гепатит алкогольного происхождения, у 7 (46%) — лекарственного, у 3 (20%) — алиментарного происхождения.
Установлено, что у 4 (80%) из 5 беременных с алкогольным гепатитом, у 5 (72%) из 7 беременных с лекарственным гепатитом и у 2 (67%) из 3 беременных с алиментарным гепатитом беременность завершилась с неудовлетворительными результатами. У 11 (73,3%) из 15 беременных с гепатитом неинфекционного генеза, не получавших лечения от гепатита, беременность завершилась выкидышем или мертворождением. Тогда как при лечении гепатита адеметионином у этих женщин при повторной беременности из 15 женщин только у 6 (40%) пациенток беременность завершалась неудовлетворительными результатами, а из общего количества 19 беременных, включённых в исследование, только у 9 (45%) выявлена перинатальная патология.
Для оценки факторов риска развития перинатальных осложнений полученные данные подвергались статистическому анализу методом χ2 Пирсона. Из-за ограниченности количества наблюдений результат χ2=2,810 не сопровождался статистической значимостью (р=0,094). Однако, несмотря на это, выявлено значительное снижение относительного риска (–38,6) развития патологии у беременных с гепатитом неинфекционного генеза на фоне лечения их адеметионином. В свете этого дальнейшие исследования в этой области представляются перспективными.
Выводы
1. У беременных с гепатитами неинфекционного генеза назначение адеметионина приводило к положительной динамике печёночного процесса.
2. Имеет значение генез неинфекционного поражения печени: в наименьшей степени процесс поддаётся положительному влиянию лечения адеметионином при алкогольном гепатите, в наибольшей — при алиментарном генезе заболевания.
3. Необходимы дальнейшие исследования с целью подтверждения зависимости между генезом неинфекционного гепатита и возможностью снижения риска путём применения адеметионина.
Источник финансирования. Исследование не имело спонсорской поддержки.
Конфликт интересов. Автор заявляет об отсутствии конфликта интересов по представленной статье.
Об авторах
Кенуль Галиб кызы Гараева
Научно-исследовательский институт акушерства и гинекологии
Автор, ответственный за переписку.
Email: rjafarova@bk.ru
Азербайджан, г. Баку, Азербайджан
Список литературы
- Оруджев Р.А., Джафарова Р.Э. Изменение состояния нервной системы и показателей периферической крови на фоне интоксикации бензолом. Анализ риска здоровью. 2017; (4): 108–116. doi: 10.21668/health.risk/2017.4.12.eng.
- Юдина Н.В., Егорова Е.Ю., Философова М.С. и др. Рандомизированное контролируемое клинико-экономическое исследование применения прогепара у пациентов с хроническим алкогольным гепатитом. Качественная клин. практика. 2011; (1): 72–84.
- Полухова Ш.М., Мусаева Э.М. Джафарова Р.Э. и др. Лекарственные гепатопатии. Вестн. Витебского гос. мед. ун-та. 2018; 17 (4): 29–36. doi: 10.22263/2312-4156.2018.4.29.
- Мусаева Э.М., Гусейнова Г.А., Джафарова Р.Э. и др. Возможности фармакологической коррекции патологий гепатобилиарной системы. Вестн. Рос. военно-мед. академии. 2018; (2): 221–225.
- Baud F., Garnier R. Toxicologie Clinique. 6ème édition. Paris: Lavoisier. 2017; 1654 p.
- Зобнин Ю.В. Токсическое повреждение печени у детей. Сибирский мед. ж. (Иркутск). 2017; (4): 37–53.
- Buatois S., Le Merdy M., Labat L. et al. Principales modifications pharmacocinétiques chez l’enfant. Toxicol. Analytique & Clinique. 2014; (3): 156–164. doi: 10.1016/j.toxac.2014.06.003.
- Ерёмина Е.Ю. Лекарственный гепатит у беременных. Пробл. женского здоровья. 2011; 6 (4): 46–55.
Дополнительные файлы




