The ordinal scale of X-ray assessment of venous congestion in chronic heart failure
- Authors: Kolyadich MI1
-
Affiliations:
- South Ural State Medical University
- Issue: Vol 101, No 1 (2020)
- Pages: 112-118
- Section: Clinical experiences
- Submitted: 10.02.2020
- Accepted: 10.02.2020
- Published: 11.02.2020
- URL: https://kazanmedjournal.ru/kazanmedj/article/view/20394
- DOI: https://doi.org/10.17816/KMJ2020-112
- ID: 20394
Cite item
Abstract
Aim. To develop an ordinal scale for x-ray assessment of venous congestion in chronic heart failure based on the results of the standard assessment of chest radiographs.
Methods. The ordinal assessment on the scale consists of a numerical expression of four radiological symptoms: cardiomegaly, pleural effusion, and changes in the pulmonary pattern due to vascular and interstitial components. The presence of each of these symptoms corresponds to a score of 1 point. In the result, ordinal X-ray assessment varies from 0 to 4 points. Simultaneously objective clinical, instrumental and laboratory measures of the severity of congestive heart failure were recorded in patients.
Results. Cardiomegaly, the presence of pleural effusion and changes in the pulmonary pattern due to vascular and interstitial components was numerically estimated according to the standard assessment of chest X-rays for the scale of radiological assessment of venous congestion. Correlation between numerical estimates of the ordinal scale and objective clinical, instrumental and laboratory measures of venous stasis in the sample of 225 patients showed the validity of the assessment. The statistically significant direct relationships between value of the ordinal scale for X-ray assessment of venous congestion with functional class and stage of chronic heart failure, the level of NT-terminal fragment of brain natriuretic peptide, the frequency of respiratory movements, the scale of clinical state, the index of the left atrium, the systolic pressure in the pulmonary artery, as well as an inverse dependence with the 6-minute walk test values were proved. Sufficient internal consistency of the ordinal scale was demonstrated (Cronbach's alpha 0.73). We also found that the scale demonstrated predictive informativeness, which was manifested by a significant increase in the mortality of patients with chronic heart failure in cases where the scale values increase to ≥2.
Conclusion. The proposed ordinal scale for x-ray assessment of venous congestion has sufficient reliability (internal consistency) for practical application, as well as criteria and prognostic validity; the scale can be considered as a simple, accessible and informative addition to the standard examination of polymorbid patients with chronic heart failure, which may be useful for advanced assessment of the patient's condition and risk of death within the next year.
Full Text
Introduction
Chronic heart failure (CHF) a major cause of disability and mortality and is a global health care problem [1]. Regardless of its nosological origin, the functional class reflects the severity of CHF and largely indicates the risk of a fatal outcome [2]. With regard to severity, the prognosis of congestive CHF is comparable with the prognosis of cancer [3]. The prognosis is related primarily to the severity of venous congestion that develops with CHF.
Thus, the severity of venous congestion must be assessed adequately; this is important not only for predicting the temporal changes in a patient’s clinical condition but also for judging the effectiveness of therapy. One of the approaches to assessing the severity of venous congestion in patients with CHF is the analysis of a well-known set of radiological signs identified on plain chest radiographs. These signs include cardiomegaly, increased pulmonary pattern as a result of vascular and interstitial components, and the presence of effusion in the pleural cavities [4].
Unfortunately, these symptoms are interpreted qualitatively, which significantly reduces the sensitivity of this approach. To overcome this disadvantage, the radiological signs of congestion in the six zones of the pulmonary field, are analyzed ordinally [5]. The numerical indicator thus obtained is an informative predictor of the adverse course and outcome of CHF.
Despite the obvious accessibility of this approach, a number of disadvantages impede its application: The validity of the discussed approach is questionable because of the excessive “hardness” of the selection criteria and the associated risk of biased sampling [5], and the approach under discussion does not include an assessment of signs such as cardiomegaly and pleural effusion, which are often found in CHF of high functional classes [4].
In this regard, the aim of this article is to describe a simplified ordinal venous congestion radiological symptom scale (VCRSS) that was developed for rating CHF and was based on the standard protocol for interpreting a chest radiograph [6, 7].
Methods
The study was performed in a two-stage design. The first stage was a one-time “cross section,” and the second stage was a prospective follow-up for 1 year from the moment the patient was included in the study. In the first (cross-sectional) stage, the criterion validity of the proposed VCRSS was studied, and its reliability was assessed (according to the criteria of internal consistency). In the second (follow-up) stage, the predictor validity of the proposed scale was studied according to the criteria for an unfavorable outcome (death of patients) from any causes within a year from the time of examination.
The research plan was consistent with the Helsinki Declaration, 9th revision (Fortaleza, Brazil, 2013), taking into account paragraphs 25–32 [8], and was approved by the local ethics committee (protocol No. 12, dated December 21, 2012).
The study included 225 patients with multiple morbidities, of whom 90 (40%) were men and 135 (60%) were women; the average age of the patients was 71.01 years (standard deviation, 10.2 years). All patients were included in the study provided written informed consent to participate. The inclusion criterion was any mention of CHF in the clinical diagnosis. The criteria for exclusion from certain sections of the study were the patient’s refusal to participate in the examination and undergoing actions in excess of current standards and protocols for the provision of medical care.
Of the patients, 183 (81.3%) were hospitalized in the cardiology department and 42 (18.7%) in the primary neurological vascular department of the City Clinical Hospital No. 1 in Chelyabinsk, Russia, during the period 2012 to 2016; 113 (50.2%) were hospitalized for acute decompensation in CHF, 42 (18.7%) for acute cerebrovascular accident, 31 (13.8%) for acute coronary syndrome, 21 (9.3%) for heart rhythm disturbance, and 15 (6.7%) for arterial hypertension. The remaining 3 patients (1.3%) were hospitalized for inflammatory heart disease (1 for infectious endocarditis, 1 for acute pericarditis, and 1 for myocarditis).
Table 1 lists the characteristics of the stage and functional class of CHF in patients included in the study.
Table 1. Clinical characteristics of severe chronic heart failure in patients included in the study.
Indicator | Quantity | ||
Stage | I | 19 (8.4%) | |
IIA | 99 (44%) | ||
IIB | 103 (45.8%) | ||
III | 4 (1.8%) | ||
Functional class | I | 4 (1.8%) | |
II | 33 (14.7%) | ||
III | 101 (44.9%) | ||
IV | 87 (38.7%) | ||
The examination was comprehensive and, in addition to chest radiography to assess venous congestion, included the entire range of diagnostic measures provided by the standards and clinical guidelines for classifying the conditions for which the patients were hospitalized. In addition to the standard examination, each patient’s condition was characterized with the Rating Scale of Clinical State (RSCS) [1, 9], and patients underwent a 6-minute walking test and a blood test to determine the level of the NT-terminal fragment of brain natriuretic peptide (NT-proBNP).
In the physical assessment, a general therapeutic examination was performed, the RSCS was filled out, and the stage and functional class of CHF were compared with the clinical classification data valid at the time of the analysis [1]. One hundred thirty patients completed the 6-minute walking test; of the 95 patients who did not complete this test, 38 could not perform the test due to contraindications (acute cerebrovascular accident), 31 patients had dyspnea at rest, and 26 patients refused to take the test.
All patients underwent transthoracic echocardiography with the Samsung Medison EKO7 (Samsung, Seoul, South Korea) and the Siemens SONOLINE G50 (Siemens Healthineers, Erlangen, Germany) to determine the size of the heart chambers, calculate the left atrium index, determine velocities and pressure gradients of intracardiac flow, calculate the systolic pressure in the pulmonary artery, and assess systolic and diastolic function of the left ventricle [1, 10]. Some patients had partial echo negativity, which made it impossible to determine some of the echocardiographic parameters: The size of the left atrium and the left atrium index could not be assessed in 59 patients, the ejection fraction could not be calculated by any of the existing methods in 10 patients, and systolic pressure in the pulmonary artery could not be measured in 50 patients.
The laboratory study included general clinical and standard biochemical sections according to current standards and clinical guidelines. In addition, the level of NT-proBNP in the blood was determined in 197 patients through the use of standard enzyme-linked immunosorbent assay kits (Biomedica, Wien, Austria).
All patients included in the study underwent plain chest radiography on a Shimadzu RS-50 apparatus (Shimadzu, Kyoto, Japan). For an ordinal assessment of the degree of venous congestion in the pulmonary circulation, we used the VCRSS, which focused on four signs: cardiomegaly, venous congestion, interstitial edema, and pleural effusion. Cardiomegaly was defined as an increase in the cardiothoracic index of more than 0.45 or by a shift in the border of the median shadow outwardly from the left midclavicular line. The presence of venous congestion was determined by strengthening and redistribution of the vascular component of the pulmonary pattern. Interstitial edema was verified by enhancement of the interstitial component of the pulmonary pattern. The presence of fluid in the sinuses of the pleural cavities was confirmed by the disappearance of the acute angle between the pulmonary pleurae in the sinus.
Each sign detected corresponded to a score of 1 on the proposed VCRSS. Thus the minimum VCRSS value was 0 points (no signs of congestion), and the maximum value was 4 points. To evaluate the criterion validity of this approach, the severity of the radiological signs of congestion was compared with indicators of the functional class and stage of CHF, results of the 6-minute walking test, the level of circulating NT-proBNP, and the results of an echocardiographic study.
To study the predictor validity of VCRSS, we compared its indicators with the frequency of adverse outcomes (death of patients) within a year from the moment of inclusion in the study. To register the outcomes, we conducted a telephone survey of patients or their relatives (indicated by patients as contact persons at the time of inclusion in the study), or both, and we checked journals and electronic patient movement registers in the hospital to identify repeated hospitalizations and their possible outcomes.
Statistical analysis was performed with the SPSS 17.0 application software package (IBM Corp., Armonk, NY, USA). The data obtained were processed by descriptive statistics methods and calculated as arithmetic means and their standard errors for interval and ordinal indicators. Multiple intergroup comparisons were performed with a nonparametric analog of single-factor analysis of variance (Kruskall-Wallis test). Paired intergroup comparisons were performed with the Mann–Whitney test. Nominal indicators were analyzed with four-field tables and calculation by Fisher’s exact test, as well as the odds ratio, sensitivity, specificity, and prognostic values of positive and negative results. To evaluate the presence of a relationship between the parameters studied, we calculated the Spearman correlation coefficient. To perform survival analysis, we constructed Kaplan–Meier survival curves. The internal consistency of VCRSS was determined with Cronbach’s alpha coefficient. Statistical hypotheses were tested at a critical significance level of 0.05.
Results
We found that the results of the assessment of venous congestion by VCRSS corresponded strongly to the well-known clinical manifestations of CHF, primarily in relation to the stage and functional class of CHF. Figure 1 shows that the VCRSS indicator increased significantly as the functional class of CHF and its stage increased.
Figure 1. The severity of venous congestion according to the venous congestion radiological symptoms scale (VCRSS), depending on stage (A) and functional class (B) of chronic heart failure (CHF). St, stage; f.с., functional class. A: (1) multiple intergroup differences according to the Kruskall-Wallis test were statistically significant (p < 0.001); (2) paired intergroup differences were significant (p = 0.024 and p < 0.001) according to the Mann–Whitney test in all cases, except for differences between CHF stages IIB and III (p = 0.215 according to the Mann–Whitney test). B: (1) multiple intergroup differences according to the Kruskall-Wallis test were statistically significant (p < 0.001); (2) paired intergroup differences were significant (p = 0.032 and p < 0.001) according to the Mann–Whitney test in all cases, except for differences between CHF stages I and II (p = 0.092) and between functional classes II and III (p = 0.301).
Correlation analysis revealed direct statistically significant relationships between the severity of venous congestion according to the VCRSS and the level of NT-proBNP (rs = 0.417, p < 0.001), functional class of CHF (rs = 0.434, p < 0.001), stage of CHF (rs = 0.330, p < 0.001), respiratory rate (rs = 0.346, p < 0.001), RSCS score (rs = 0.325, p < 0.001), left atrial index (rs = 0.242, p=0.003), and pulmonary artery systolic pressure (rs = 0.293, p < 0.001), as well as an inverse relationship with the 6-minute walking test (rs = –0.266, p < 0.003). With regard to the coefficient of internal consistency of the VCRSS, Cronbach’s alpha coefficient was 0.73, which corresponded to a sufficient level of test reliability.
The analysis of outcomes in patients with CHF revealed statistically significant differences in the severity of venous congestion in the pulmonary circulation according to the VCRSS between the 189 patients who survived during the year and the 36 patients who died within 1 year of the follow-up from the moment of inclusion in the study (Figure 2).
Figure 2. Severity of venous congestion on the venous congestion radiological symptoms scale (VCRSS), depending on the outcome of chronic heart failure.
The median value of the VCRSS assessment in the integrated population of patients included in the study was 2.0 points. We therefore divided all patients into groups according to venous congestion: pronounced (VCRSS ≥ 2; 139 patients) and relatively weak (VCRSS <2; 86 patients). An intergroup comparison of the mortality rate demonstrated that mortality rates in the group with severe venous congestion (29 patients [20.9%]) were more than double those among patients with relatively weak venous congestion (7 patients [8.1%]; p = 0.014 by Fisher’s exact test).
The median VCRSS value (2) met the requirement of the best balance of sensitivity and specificity, which amounted to 80% and 41.8%, respectively. The potential predictability of the fatal outcome of CHF in patients with a VCRSS value of 2 or higher is illustrated by the odds ratio of 2.98 (95% confidence interval, 1.24 to 7.13).
Discussion
This approach to predicting an adverse outcome of CHF is associated with serious limitations. The predictive values of positive results (20.9%) and specificity (41.8%) were quite low. Apparently, the median VCRSS value of 2 cannot be considered a sufficient predictor of death in patients with CHF, but it can probably serve as an informative component of complex prognosis algorithms. Evidence of this possibility is the high sensitivity value (80%) and the high predictive value (91.9%) of negative results. Further assessment of the potential for VCRSS as part of multidimensional algorithms to predict outcomes of CHF requires separate studies with a focus on validity and accessibility for use in clinical practice.
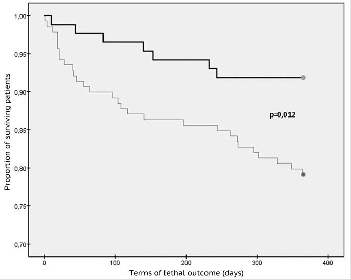
The predictive ability of the VCRSS indicators was confirmed in the process of constructing survival curves according to the Kaplan–Meier estimates for the median VCRSS value of 2 (Fig. 3). The rate of survival within a 1-year follow-up period was significantly lower among patients with relatively high VCRSS values (≥2) than among patients with VCRSS values of less than 2 points (p = 0.012).
Figure 3. Curves of patient survival within 1 year of follow-up, depending on the indicators of the venous congestion radiological symptoms scale (VCRSS). The thick line indicates the curve of survival among patients with a baseline VCRSS value lower than 2, and the thin line indicates that of patients with a baseline VCRSS value of 2 or greater. The significance (p) of the differences between the survival curves was evaluated with the log rank criterion.
The data indicate that the proposed ordinal approach to assessing the severity of venous congestion provides useful information in addition to the results of clinical assessment of the patient’s condition.
The proposed VCRSS scale is a simplified version of the well-known approach to the ordinal assessment of venous congestion, which is based on the assessment of intensity of changes in the pulmonary pattern in six areas of the pulmonary fields [5]. However, this approach help assess such important and well-known radiological symptoms as cardiomegaly and the presence of effusion in the pleural cavities. The proposed VCRSS is based on the approach developed by Kobayashi et al. [5] and also takes into account the generally accepted radiological findings of venous congestion [6, 7]. As a result, the ordinal approach is useful and accessible to a large number of cardiologists and therapists.
The results of the first stage of the study, performed in a cross-sectional design, clearly demonstrate the criterion validity of the VCRSS, in that the ordinal estimates of VCRSS corresponded significantly to the values of functional classes and stages of CHF, as well as indicators of tachypnea, decreased exercise tolerance, RSCS values, and clinical, biochemical, and echocardiographic signs of CHF. In addition to the criterion validity, sufficient reliability of the VCRSS scale was established in the first stage of the study by its internal consistency. The results of the second stage of the study, performed in a longitudinal design, demonstrated the predictive abilities of the VCRSS indicators, which were significantly correlated with the risk of a fatal outcome of CHF within a year after the initial indicators of the proposed scale were measured.
Conclusions
The proposed VCRSS has sufficient reliability (internal consistency) for practical use, as well as criterial and prognostic validity. In general, the results of the study indicate that the scale is a simple, affordable, and informative addition to the standard examination of patients with CHF and multiple comorbidities. Such an expansion of existing standards of medical care for chronic heart failure may enable an in-depth assessment of a patient’s condition and the risk of death within the next year. The timely detection of such a risk and its advanced therapeutic correction may reduce the mortality rate among patients with CHF.
The author declares no conflict of interest.
About the authors
M I Kolyadich
South Ural State Medical University
Author for correspondence.
Email: volchegorsky@gmail.com
Russian Federation, Chelyabinsk, Russia
References
- Mareev V.Yu., Fomin I.V., Ageev F.T. et al. Russian Heart Failure Society, Russian Society of Cardiology. Russian Scientific Medical Society of Internal Medicine Guidelines for Heart failure: chronic (CHF) and acute decompensated (ADHF). Diagnosis, prevention and treatment. Kardiologiia. 2018; 58 (6): 10–164. (In Russ.) doi: 10.18087/cardio.2475.
- Russell S.D., Saval M.A., Robbins J.L. et al. New York Heart Association functional class predicts exercise parameters in the current era. Am. Heart J. 2009; 158: 24–30. doi: 10.1016/j.ahj.2009.07.017.
- Belenkov Yu.N., Ageev F.T. Epidemiology and prognosis of chronic heart failure. Russkij medicinskij zhurnal. 1999; (2): 1–2. (In Russ.)
- Tyurin I.E. X-ray diagnosis of pulmonary edema. Prakticheskaya pul'monologiya. 2005; (2): 18–22. (In Russ.)
- Kobayashi M., Watanabe M., Coiro S., et al. Mid-term prognostic impact of residual pulmonary congestion assessed by radiographic scoring in patients admitted for worsening heart failure. Intern. J. Cardiol. 2019; 289: 91–98. doi: 10.1016/j.ijcard.2019.01.091.
- Lindenbrathen L.D., Naumov L.B. Meditsinskaya rentgenologiya. (Medical radiology.) Moscow: Meditsina. 1984; 384 р. (In Russ.)
- Rosenstrauh L.S., Rybakova N.I., Winner M.G. X-ray diagnosis of respiratory diseases. Moscow: Meditsina. 1987; 640 р. (In Russ.)
- World Medical Association Declaration of Helsinki. Ethical Principles for Medical Research Involving Human Subjects. JAMA. 2013; 310 (20): 2191–2194. doi: 10.1001/jama.2013.281053.
- Belenkov Yu.N., Mareev V.Yu. The principles of rational treatment of chronic heart failure. Moscow: Media Medika. 2000; 266 р. (In Russ.)
- Lang R.M., Bierig M., Devereux R.B. et al. Recommendations for chamber quantification. Eur. J. Echocardiography. 2006; 7 (2): 79–108. doi: 10.1016/j.euje.2005.12.014.
Supplementary files






