Phenotypes of lymphocytes in exudate in atopic dermatitis
- Authors: Kibalina I.V.1, Tsybikov N.N.1, Fefelova E.V.1
-
Affiliations:
- Chita state medical academy
- Issue: Vol 103, No 3 (2022)
- Pages: 357-363
- Section: Theoretical and clinical medicine
- Submitted: 09.02.2022
- Accepted: 14.04.2022
- Published: 09.06.2022
- URL: https://kazanmedjournal.ru/kazanmedj/article/view/100278
- DOI: https://doi.org/10.17816/KMJ2022-357
- ID: 100278
Cite item
Full Text
Abstract
Aim. To determine subpopulations of lymphocytes in exudate in atopic dermatitis.
Material and methods. The study included 80 patients with atopic dermatitis according to predetermined inclusion and exclusion criteria, who were under dispensary supervision at the Regional Dermatovenerologic Dispensary (Chita) from 2018 to 2021. Two groups (adolescents and adults) and two subgroups (patients with limited and widespread lesions) were formed. Skin exudate sampling was carried out during the period of exacerbation of the disease. The control group consisted of 30 practically healthy volunteers undergoing a medical examination at the same dispensary, having primary health records and meeting the inclusion criteria for the study. Lymphocyte phenotypes were determined in skin exudate by flow cytofluorometry. Statistical analysis was performed using Microsoft Excel, IBM SPSS Statistics version 25.0, and the Shapiro–Wilk test, Mann–Whitney and Wilcoxon U-test, Kruskal–Wallis nonparametric analysis of variance were used. The data were presented by median and interquartile intervals — Me (25%; 75%). The critical indicator of the significance level of the differences was p <0.05.
Results. In the exudate of practically healthy volunteers, obtained by the “skin window” method, no subpopulations of lymphocytes were detected. In the skin exudate of adolescents with limited lesions, the content of lymphocytes was 149.00 (129.75; 157.75) cells/μl, T-lymphocytes (CD3+CD19–) — 109.5 (96.25; 113.75) cells/μl, among them 48.95% active, T-helpers — 42.5 (39.25; 57.50) cells/μl, natural killers (CD3+CD16+CD56+) — 38.50 (36.25; 41.00) cells/μl, however, with the widespread process, the level of lymphocytes increased by 11% (p1=0.002), T-helpers — by 45%, natural killers — by 27%, T-lymphocytes up to 125.00 (110.5;135.75) cells/μl (p1=0.00001). These indicators in adults and the level of cytotoxic T-lymphocytes (CD3+CD8+) in adolescents and adults had no significant differences. The number of T-NK-killers (CD3+CD16+CD56+) in adolescents was higher with a widespread process — 23.00 (11.75; 29.75) cells/μl (p1=0.0001), in adults with a limited process — 18.00 (10.25; 20.75) cells/μl (p2=0.0001). The number of NKCD8+ (CD3–CD16+CD56+CD8+) in adolescents with limited dermatosis was 22.50 (18.25; 26.00) cells/μl, with widespread dermatosis — 1.6 times more (p1=0.0001), in adults with a limited process — 29.50 (25.25; 33.75) cells/μl, with widespread — 27% less (p1=0.0001).
Conclusion. In the skin exudate in atopic dermatitis, cytotoxic T-lymphocytes, T-NK-killers, natural killers, CD8-positive NK-killers are detected.
Full Text
Актуальность
По современным представлениям в основе патогенеза атопического дерматита лежит реагиновый тип аллергических реакций [1–4]. В литературных источниках освещены данные о фенотипировании лимфоцитов только в крови при данном дерматозе, отражающие процессы активации В-клеток, Т-хелперов 1-го, 2-го, 17-го и 22-го типов [5–9]. Однако абсолютно нет данных об иммунофенотипировании лимфоцитов в кожном экссудате у пациентов с атопическим дерматитом. В данной статье впервые представлена информация о фенотипах лимфоцитов в экссудате in situ у пациентов с атопическим дерматитом.
Цель
Определить субпопуляции лимфоцитов в экссудате при атопическом дерматите.
Материал и методы исследования
В исследовании участвовали 80 пациентов в возрасте от 13 до 44 лет с диагнозом «атопический дерматит» согласно заранее разработанным критериям включения, находящихся на диспансерном наблюдении в ГУЗ «Краевой кожно-венерологический диспансер» Минздрава Забайкальского края (г. Чита) с 2018 по 2021 г.
Сформированы две группы согласно возрастному критерию: подростки (n=40) от 13 до 17 лет (средний возраст 15,8±2,1 года) и взрослые (n=40) от 18 до 44 лет (средний возраст 31,8±6,9 года; р=0,016). В каждой группе пациенты были распределены на две подгруппы по 20 человек согласно распространённости кожного процесса: пациенты с ограниченной и распространённой формами атопического дерматита.
Критериями включения пациентов в исследование были верифицированный диагноз «атопический дерматит» в анамнезе не менее 2 лет, отсутствие сопутствующих хронических заболеваний, в том числе в период ремиссии, наличие добровольного информированного согласия. Критерии исключения — верифицированный диагноз «атопический дерматит» в анамнезе менее 2 лет, хронические заболевания, в том числе в период ремиссии, применение топической и системной терапии до взятия кожного экссудата, беременность, лактация.
Контрольную группу составили 30 практически здоровых добровольцев, проходящих медицинский осмотр в том же диспансере, имеющих первичную документацию о состоянии здоровья и соответствующих критериям включения в исследование.
У больных атопическим дерматитом кожный экссудат получали из экссудативных морфологических элементов, применяя иглу 20G и инсулиновый шприц, в период обострения заболевания до назначения системной и топической терапии. Полученный кожный экссудат перемещали в одноразовые микропробирки ёмкостью 0,5 мл. У представителей контрольной группы кожный экссудат получали методом «кожного окна» [10].
Для выявления основных субпопуляций лимфоцитов в кожном экссудате пациентов с атопическим дерматитом применяли панель моноклональных антител, конъюгированных с различными флюорохромами. Использовали антитела CD3-FITC, CD16/CD56-PE, CD19-PC7, CD8-APC-Alexa Fluor 700™, CD4-Pacific Blue, CD45-Krome Orange (Beckman Coulter, США) и HLA-DR-Brilliant Violet 785™ (Biolegend, США). По завершении инкубации не связавшиеся антитела убирали избытком забуференного фосфатами изотонического раствора натрия хлорида, а полученный клеточный осадок ресуспендировали в 150 мкл забуференного фосфатами изотонического раствора натрия хлорида, содержавшего 1% нейтрального параформальдегида (Sigma-Aldrich, США). Абсолютные значения были получены в одноплатформенной системе с помощью реагента FlowCount™ (Beckman Coulter, США).
Подготовку образцов и настройку проточного цитофлюориметра проводили в соответствии с рекомендациями, изложенными С.В. Хайдуковым и соавт. [11]. Анализ образцов выполняли на проточном цитофлюориметре CytoFLEX (Beckman Coulter, США). Обработку цитофлюориметрических данных проводили при помощи программ CytExpert software v. 2.3 и KaluzaTM v. 2.1.1 (Beckman Coulter, США). В каждом образце анализировалось не менее 50 000 событий.
Тип исследования — аналитическое когортное. Протокол исследования №92 одобрен локальным этическим комитетом ФГБОУ ВО «Читинская государственная медицинская академия» Минздрава России 29.10.2018.
Статистическая обработка полученных лабораторных данных проведена с применением пакетов статистического анализа прикладных программ Microsoft Excel, IBM SPSS Statistics version 25.0. Для проверки на нормальность распределения количественных показателей использовали критерий Шапиро–Уилка. Для статистической обработки данных, не подчиняющихся закону нормального распределения, применяли непараметрические методы. Для сравнения выборок использовали U-критерий Манна–Уитни и Уилкоксона. Для проверки статистических гипотез при сравнении нескольких независимых выборок применяли непараметрический дисперсионный анализ Краскела–Уоллиса. Критический показатель уровня значимости и достоверности различий был р <0,05. Описательная статистика исследуемых показателей представлена медианой и межквартильными интервалами — Ме (25%; 75%).
Результаты
В кожном экссудате у пациентов с атопическим дерматитом, независимо от возраста и распространённости кожного процесса, выявили следующие фенотипы лимфоцитов: Т-лимфоциты (CD3+CD19–), В-лимфоциты (CD3–CD19+), Т-хелперы (CD3+CD4+), цитотоксические Т-лимфоциты (CD3+CD8+), Т-NK-киллеры (CD3+CD16+CD56+), естественные киллеры (NK) (CD3–CD16+CD56+), NK-киллеры, позитивные по CD8 (CD3–CD16+CD56+CD8+), активированные Т-лимфоциты (CD3+CD19–HLA DR+). В экссудате практически здоровых добровольцев, полученном методом «кожного окна», никаких популяций лимфоцитов выявлено не было, что можно объяснить отсутствием активации иммунной системы у практически здоровых добровольцев, однако в научной литературе данных о фенотипировании лимфоцитов в кожном экссудате при атопическом дерматите нет. Таким образом, сравнение динамики изучаемых показателей проводили между группами больных атопическим дерматитом.
У подростков с ограниченной формой атопического дерматита абсолютное количество лимфоцитов составляет 149,00 (129,75; 157,75) клеток/мкл, однако при распространённом кожном процессе показатель увеличивается на 11% до 169,00 (149,5; 182,75) клеток/мкл (р1=0,002). При иммунофенотипировании лимфоцитов в кожном экссудате подростков выявлено, что доминирующим пулом клеток как при ограниченном, так и при распространённом кожном процессе являются Т-лимфоциты (CD3+CD19–). Их уровень при ограниченном атопическом дерматите составляет 109,5 (96,25; 113,75) клеток/мкл, при распространённом процессе — 125,00 (110,5;135,75) клеток/мкл (р1=0,00001). Среди них активными были 48,95 (44,04; 20,95)% при ограниченном кожном процессе, что в абсолютном значении составляет 72,50 (59,25; 80,75) клеток/мкл (р1=0,00001), однако при распространённом атопическом дерматите показатель составил 20,95 (16,69; 23,94)% (р1=0,00001), что в абсолютном значении равно 30,50 (25,25; 38,50) клеток/мкл (р1=0,00001). Таким образом, у подростков количество активных Т-лимфоцитов (CD3+CD19–HLA DR+) при ограниченном патологическом процессе больше, чем при распространённой форме заболевания.
У взрослых в кожном экссудате также было определено общее количество лимфоцитов, однако полученные данные, независимо от формы дерматита, не имели достоверных статистических различий при сравнении с группой подростков. Выявлено, что уровень Т-лимфоцитов имеет тенденцию к снижению при распространённой форме по сравнению с ограниченным кожным процессом: 64,18 (48,71; 70,75)% (р2=0,038) и 65,63 (62,74; 68,79)% соответственно. Абсолютные показатели динамики Т-лимфоцитов в кожном экссудате, в том числе активированных, у взрослых статистически достоверных различий не имели. Также статистически достоверных данных о динамике В-лимфоцитов в кожном экссудате подростков и взрослых получено не было.
В кожном экссудате как у подростков, так и у взрослых были определены Т-хелперы (CD3+CD4+), цитотоксические Т-лимфоциты (CD3+CD8+), Т-NK-киллеры (CD3+CD16+CD56+), естественные киллеры (CD3+CD16+CD56+) и NK-киллеры, позитивные по CD8+ (CD3–CD16+CD56+CD8+).
Абсолютное количество Т-хелперов в кожном экссудате у подростков с ограниченным атопическим дерматитом составляет 42,5 (39,25; 57,50) клеток/мкл, при распространённом кожном процессе показатель увеличивается на 45% — до 78,50 (56,00; 101,00) клеток/мкл (р1=0,001). У взрослых с ограниченной формой дерматоза количество Т-хелперов в кожном экссудате равно 79,50 (69,25; 86,75) клеток/мкл (р2=0,001), однако при распространённом процессе количество клеток уменьшается на 30% — до 55,5 (34,50; 74,00) клеток/мкл (р1=0,002; р2=0,002).
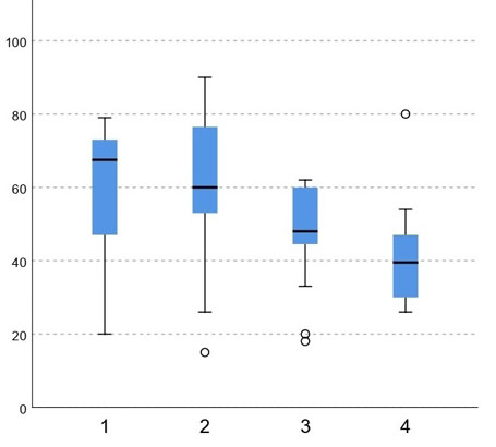
Статистически достоверных показателей динамики цитотоксических Т-лимфоцитов (CD3+CD8+) в кожном экссудате подростков независимо от распространённости патологического процесса мы не получили. Однако у взрослых достоверность имели относительный показатель при ограниченном атопическом дерматите — 29,10 (22,33; 31,36)% (р1=0,00001), а также абсолютный при распространённом процессе — 39,50 (29,50; 47,00) клеток/мкл (р1=0,001) (рис. 1).
Рис. 1. Абсолютное количество цитотоксических Т-лимфоцитов (CD3+CD8+) (клетки/мкл) в кожном экссудате при атопическом дерматите (АтД): 1 — подростки с ограниченным АтД; 2 — подростки с распространённым АтД; 3 — взрослые с ограниченным АтД; 4 — взрослые с распространённым АтД
В кожном экссудате у подростков количество Т-NK-киллеров (CD3+CD16+CD56+) больше при распространённом кожном процессе, У взрослых — при ограниченной форме заболевания. Относительное количество Т-NK-киллеров (CD3+CD16+CD56+) в кожном экссудате у подростков с ограниченным атопическим дерматитом составляет 4,80 (4,21; 5,95)%, при распространённом кожном процессе показатель увеличивается в 2 раза — до 9,92 (6,94; 13,95)% (р1=0,0001). У взрослых с ограниченным поражением кожи уровень Т-NK-киллеров равен 8,56 (5,68; 11,25)% (р2=0,0001), однако при распространённом кожном процессе их количество уменьшается на 27% — до 6,25 (4,94; 7,26)% (р1=0,031; р2=0,003).
Абсолютное содержание Т-NK-киллеров в кожном экссудате подростков с ограниченным атопическим дерматитом составляет 7,00 (5,25; 8,75) клеток/мкл, однако при распространённом кожном процессе их количество увеличено в 3,3 раза — до 23,00 (11,75; 29,75) клеток/мкл (р1=0,0001). У взрослых с ограниченной формой дерматоза количество Т-NK-киллеров в кожном экссудате составляет 18,00 (10,25; 20,75) клеток/мкл (р2=0,0001), несмотря на увеличение площади поражения при распространённой форме дерматоза количество клеток уменьшается в 1,7 раза — до 10,50 (8,25; 13,00) клеток/мкл (р1=0,085; р2=0,006) (рис. 2).
Рис. 2. Абсолютное количество Т-NK-киллеров (CD3+CD16+CD56+) (клетки/мкл) в кожном экссудате при атопическом дерматите (АтД): 1 — подростки с ограниченным АтД; 2 — подростки с распространённым АтД; 3 — взрослые с ограниченным АтД; 4 — взрослые с распространённым АтД
Относительное количество естественных киллеров (NK) (CD3+CD16+CD56+) в кожном экссудате у подростков с ограниченным атопическим дерматитом составляет 28,23 (25,52; 30,37)%, при распространённом кожном процессе их уровень больше на 23% и составляет 36,61 (28,25; 45,43)% (р1=0,003). При распространённом процессе у подростков количество естественных киллеров (NK) (CD3+CD16+CD56+) в кожном экссудате больше, чем при ограниченной форме дерматоза.
Абсолютное количество естественных киллеров (NK) (CD3+CD16+CD56+) в кожном экссудате у подростков с ограниченным патологическим процессом составляет 38,50 (36,25; 41,00) клеток/мкл, при распространённом кожном процессе их количество увеличено на 27% — 52,5 (47,25; 55,75) клеток/мкл (р1=0,0001).
У взрослых достоверное значение уровня естественных киллеров (NK) (CD3+CD16+CD56+) определено только при ограниченной форме дерматоза — 50,50 (47,25; 54,00) клеток/мкл (р2=0,0001) (рис. 3).
Рис. 3. Абсолютное количество естественных киллеров (NK) (CD3+CD16+CD56+) (клетки/мкл) в кожном экссудате при атопическом дерматите (АтД): 1 — подростки с ограниченным АтД; 2 — подростки с распространённым АтД; 3 — взрослые с ограниченным АтД; 4 — взрослые с распространённым АтД
Как у подростков, так и у взрослых относительный показатель уровня NK-киллеров, позитивных по CD8 (CD3–CD16+CD56+CD8+), снижается при распространённом атопическом дерматите. В кожном экссудате у подростков с ограниченным кожным патологическим процессом уровень клеток составляет 70,78 (55,42; 81,04)%, при распространённой форме количество клеток уменьшается на 30% — до 48,97 (41,62; 70,98)%. У взрослых при ограниченном атопическом дерматите уровень NK-киллеров, позитивных по CD8, равен 59,94 (50,89; 64,19)% (р2=0,112), при распространённом кожном процессе на 26% меньше — 44,12 (39,33; 50,09)% (р1=0,002; р2=0,036).
Абсолютное количество NK-киллеров, позитивных по CD8 (CD3–CD16+CD56+CD8+), в кожном экссудате у подростков с ограниченной формой дерматоза составляет 22,50 (18,25; 26,00) клеток/мкл, при распространённом кожном процессе увеличивается до 38,00 (23,5; 42,75) клеток/мкл (р1=0,0001). У взрослых с ограниченной формой дерматита уровень NK-киллеров, позитивных по CD8, равен 29,50 (25,25; 33,75) клеток/мкл, при распространённом процессе — 21,50 (15,25; 25,75) клеток/мкл (р1=0,0001; р2=0,0001) (рис. 4).
Рис. 4. Абсолютное количество NK-киллеров, позитивных по CD8 (CD3–CD16+CD56+CD8+) (клетки/мкл), в кожном экссудате при атопическом дерматите (АтД): 1 — подростки с ограниченным АтД; 2 — подростки с распространённым АтД; 3 — взрослые с ограниченным АтД; 4 — взрослые с распространённым АтД
В кожном экссудате у подростков и взрослых с атопическим дерматитом выявлена разнонаправленная динамика исследуемых фенотипов лимфоцитов, однако определение данного пула клеток в кожном экссудате у всех пациентов, независимо от возраста, свидетельствует о единстве патогенетических механизмов.
Обсуждение
Согласно современным научным представлениям, атопический дерматит — аллергическое мультифакторное заболевание, характеризующееся сенсибилизацией к различным триггерным факторам и клиническими проявлениями согласно возрасту пациентов [1, 5–7, 9, 12]. Однако часть пациентов с атопическим дерматитом обладают торпидностью к антигистаминным средствам и глюкокортикоидам, а полиморфизм клинических проявлений не характерен для реагинового типа аллергических реакций [2, 3, 8].
На сегодняшний день определено два механизма формирования атопического дерматита: IgE-зависимый1 и IgE-независимый, что характеризует аллергический генез заболевания. Однако выявленные в патологическом очаге при атопическом дерматите NK-киллеры, в том числе позитивные по CD8 (CD3–CD16+CD56+CD8+), могут обусловливать хроническое течение патологического процесса, аутоиммунное звено патогенеза заболевания и торпидность части пациентов к топическим глюкокортикоидам, так как, согласно научным литературным источникам, именно эти клетки не чувствительны к данной группе препаратов [13, 14].
Мы считаем, что атопический дерматит дебютирует при формировании сенсибилизации к различным триггерным факторам по типу аллергической реакции 1-го типа. При этом в коже возникает воспалительный процесс, приводящий к деструктуризации волокон коллагена и эластина, к фрагментам которых образуются аутоантитела [15]. Данный процесс запускает образование циркулирующих и преципитирующих иммунных комплексов, миграцию Т-киллеров и NK-клеток с формированием цитотоксического и иммунокомплексного типов аллергических реакций [16]. Таким образом, течение атопического дерматита и полиморфизм клинических проявлений заболевания обусловлены аутоиммунным компонентом патогенеза.
Современный взгляд на патогенез атопического дерматита представлен дисбалансом между Т-хелперами 1-го и 2-го типов: в острую стадию заболевания доминируют Т-хелперы 2-го типа, синтезируя интерлейкин-4 и через каскад реакций активируя синтез IgE, а в хроническую стадию преобладают Т-хелперы 1-го типа с продукцией интерферона γ [1, 3, 5–7]. Однако мы считаем, что инициируют Т-клеточный иммунный ответ при атопическом дерматите Т-NK-киллеры (CD3+CD16+CD56+), способные синтезировать как интерферон γ, так и интерлейкин-4. Таким образом, в настоящем исследовании представлено новое звено патогенеза атопического дерматита.
Вывод
В кожном экссудате у подростков и взрослых с атопическим дерматитом, независимо от распространённости кожного процесса, определены разные фенотипы лимфоцитов.
Участие авторов. И.В.К. — проведение исследования, статистическая обработка данных; Н.Н.Ц. — руководство работой; Е.В.Ф. — статистическая обработка данных.
Источник финансирования. Исследование выполнено в рамках диссертационной работы И.В. Кибалиной за счёт средств ФГБОУ ВО «Читинская государственная медицинская академия» Минздрава России.
Конфликт интересов. Авторы заявляют об отсутствии конфликта интересов по представленной статье.
About the authors
Irina V. Kibalina
Chita state medical academy
Author for correspondence.
Email: vilinia@rambler.ru
ORCID iD: 0000-0003-4390-183X
M.D., Cand. Sci. (Med.), Assoc. Prof., Depart. of Dermatovenerology
Russian Federation, Chita, RussiaNamjil N. Tsybikov
Chita state medical academy
Email: thybikov@mail.ru
ORCID iD: 0000-0002-0975-2351
M.D., D. Sci. (Med.), Prof., Head, Depart. of Pathological Physiology
Russian Federation, Chita, RussiaElena V. Fefelova
Chita state medical academy
Email: fefelova.elena@mail.ru
ORCID iD: 0000-0002-0724-0352
M.D., D. Sci. (Med.), Assoc. Prof., Depart. of Pathological Physiology
Russian Federation, Chita, RussiaReferences
- Nutten S. Atopic dermatitis: global epidemiology and risk factors. Ann Nutr Metabol. 2015;66(1):8–16. doi: 10.1159/000370220.
- Kim JE, Kim JS, Cho DH, Park HJ. Molecular mechanisms of cutaneous inflammatory disorder: atopic dermatitis. Int J Mol Sci. 2016;17:1234–1241. doi: 10.3390/ijms17081234.
- Malik K, Heitmiller KD, Czarnowicki Т. An update on the pathophysiology of atopic dermatitis. Dermatol Clin. 2017;35(3):317–326. doi: 10.1016/j.det.2017.02.006.
- Grey K, Maguiness S. Atopic dermatitis: update for pediatricians. Pediatr Ann. 2016;45(8):280–286. doi: 10.3928/19382359-20160720-05.
- Drozhdina MB, Suslova EV. Immune response in atopic dermatitis. The main pathogenetic mechanisms and correlations of stages in the age aspect. Interrelation with systemic processes of dermatological and non-dermatological profile. Medical Immunology (Russia). 2021;23(2):237–244. (In Russ.) doi: 10.15789/1563-0625-IRI-2138.
- Wang AX. New insights into T cells and their signature cytokines in atopic dermatitis. IUBMB Life. 2015;67(8):601–610. doi: 10.1002/iub.1405.
- Nakajima S, Kitoh A, Egawa G, Natsuaki Y, Nakamizo S, Moniaga MS, Otsuka A, Honda T, Hanakawa S, Amano W, Iwakura Y, Nakae S, Kubo M, Miyachi Y, Kabashima K. IL-17 A asan in ducer for Th2 immune responses in murine atopic dermatitis models. J Invest Dermatol. 2014;134:2122–2130. doi: 10.1371/journal.pone.0161759.
- Simon D, Aeberhard C, Simon Н, Erdemoglu Y. Th17 cells and tissue remodeling in atopic and contact dermatitis. Allergy. 2014;69(1):125–131. doi: 10.1111/all.12351.
- Ma L, Xue HB, Guan XH, Shu CM, Zhang JH, Yu J. Possible pathogenic role of T helper type 9 cells and interleukin (IL)-9 in atopic dermatitis. Clin Exp Immunol. 2014;175(1):25–31. doi: 10.1111/cei.12198.
- Ermakov EA, Klimov VV. Analysis of the cytokine content in atopic dermatitis in the exudate obtained by the “skin window” method. Uspekhi sovremennogo estestvoznaniya. 2013;(9):31–33. (In Russ.)
- Khaydukov SV, Baydun LA, Zurochka AV, Totolyan AA. Standardized technology “Study of the subpopulation composition of peripheral blood lymphocytes using flow cytofluorimeters-analyzers”. Medical Immunology (Russia). 2014;14(3):255–268. (In Russ.) doi: 10.15789/1563-0625-2012-3-255-268.
- Balabolkin II, Bulgakova VA, Eliseeva TI. Immunopathogenesis and modern possibilities of treatment of atopic dermatitis in children. Allergology and immunology in pediatrics. 2017;(2):12–22. (In Russ.)
- Moskalev AV, Gumilevskiy BYu, Apchel AV, Tsygan VN. Т-lymphocytes — “censorial” cells of immune system. Bulletin of the Russian military medical academy. 2019;2(66):191–197. (In Russ.) doi: 10.17816/brmma25943.
- Tyshchuk EV, Mikhailova VA, Selkov SA, Sokolov DI. Natural killer cells: origin, phenotype, function. Medical Immunology (Russia). 2021;23(6):1207–1228. (In Russ.) doi: 10.15789/1563-0625-NKC-2330.
- Kibalina IV, Fefelova EV, Tsybikov NN. Investigation of the concentration of autoantibodies to elastin in blood serum in patients with atopic dermatitis. Sovremennye problemy nauki i obrazovaniya. 2021;(5):80. (In Russ.) doi: 10.17513/spno.31116.
- Kibalina IV, Tsybikov NN, Fefelova EV. Content of some chemokines in the skin exudate in atopic dermatitis. Zabaykalskiy meditsinskiy vestnik. 2021;(4):77–87. (In Russ.) doi: 10.52485/19986173_2021_4_77.
Supplementary files






