Effect of industrial atmosphere pollution on ecologogenetic parameters of drosophila and clethrionomys glareolus populations
- Authors: Okulova S.M.1, Grinko R.A.1, Kalinnikova T.B.1
-
Affiliations:
- Institute of Ecology of Natural Systems of the Academy of Sciences of the Republic of Tatarstan
- Issue: Vol 75, No 1 (1994)
- Pages: 18-27
- Section: Ecology
- Submitted: 02.12.2021
- Accepted: 02.12.2021
- Published: 15.01.1994
- URL: https://kazanmedjournal.ru/kazanmedj/article/view/89587
- DOI: https://doi.org/10.17816/kazmj89587
- ID: 89587
Cite item
Full Text
Abstract
The three year researches of Clethrionomys glareolus and Drosophila melanogastcr populations are presented. The experiment was pursued in Nizhnekamsk, the controlled region was situated in Sarali of the Volga—Kama zapovednic without atmosphere pollutions. There has been shown that the levels of prenatal mortality and potential fecundity are arised in the Nizhnekamsk populations. The latter is thought to be the compensation mechanism which stabilizes the reproduction of population. There has been stown that the induced mutagenesis (dominant and recessive lethal mutations) in the populations of Drosophila which were exposed in Nizhnekamck.
Keywords
Full Text
Объективный процесс развития промышленности нельзя рассматривать в отрыве от тех изменений, которые происходят в окружающей среде под влиянием человека. Общеизвестно прогрессирующее ухудшение экологической обстановки как в глобальном масштабе, так и в частности по нашему региону, насыщенному предприятиями нефтехимии и автомобилестроения (Нижнекамск, Набережные Челны, Елабуга). При разработке экологических экспертиз в основном оценивается характер загрязняющих среду веществ, в меньшей степени — реакции организмов на их действие на популяционном уровне. Все это определяет актуальность эколого-генетического мониторинга последствий загрязнения среды в природных популяциях животных, обитающих в указанном регионе. Для разработки данной проблемы местом работы был выбран треугольник Нижнекамск— Набережные Челны — Елабуга, экологическое неблагополучие которого сложилось давно. Контрольные участки выбирали далеко от промышленных центров, по климатическим и биотопическим условиям они существенно не отличались от опытных.
Объектами исследований были популяции рыжей полевки (Cletrionomus glareolus Schreb.) и дрозофилы (Drosophila melanogaster). В полуляции рыжей полевки в ходе весеннего размножения оценивали численность, плодовитость (потенциальную и фактическую и эмбриональную (доим- плантационную) гибель у самок. В указанные районы в начале сезона размножения вывозили лабораторные популяции дрозофилы в виде баночной культуры. Они поддерживались панмиксным размножением, неперекрывающимися поколениями на стандартной среде, сменяемой при пересадке на очередное поколение, при постоянной оптимальной плотности.
Доступ воздуха обеспечивался через марлевые поверхности.
Каждые две недели мух брали на анализ плодовитости (среднесуточная кладка самок), доминантных детальных мутаций—ДЛМ (невыведшиеся яйца), гибели личинок и куколок (ГЛК). В начале и конце сезона размножения оценивали концентрацию рецессивных летальных мутаций (РЛМ) по общепринятому методу. Дополнительно в условиях лаборатории получали дочернее поколение, которое анализировали по тем же параметрам. В общей сложности за весь период наблюдений было изучено примерно 6 тысяч особей дрозофилы.
Для оценки состояния природных популяций рыжей полевки использовали метод зародышевых деталей [1], который обладает исключительной простотой и позволяет получить интегральную характеристику состояния популяции за короткий период в экспедиционных условиях. Рабочей основой метода служит определение эмбриональной смертности до имплантации по разнице между числом желтых тел беременности в яичнике (потенциальная плодовитость) и количеством имплантированных эмбрионов в матке. При этом считается, что гибель эмбрионов определяется преимущественно летальными факторами и ее величина находится в прямой зависимости от общей приспособленности популяции.
Рабочая гипотеза эксперимента состояла в том, что антропогенный пресс в условиях Нижнекамска настолько велик, что может привести к увеличению эмбриональной смертности в популяции, хотя последняя считается достаточно жестко закрепленным внутрипопуляционным признаком и меняется коррелятивно динамике численности в популяции.
Использование дрозофилы для определения степени изменений популяций под действием средовых факторов оправдано не только исключительной простотой культивирования линий дрозофилы, но и наличием линий-маркеров, с помощью которых можно оценивать темп спонтанного мутагенеза в популяциях, развивающихся в опытном и контрольном районах. Оценка концентрации рецессивных деталей в исследуемых популяциях в начале и конце сезона размножения позволяет к тому же оценивать насыщенность исследуемых линий мутациями, то есть определять величину мутационного груза. На рис. 1 представлены кривые динамики плодовитости и эмбриональной смертности в опытном и контрольном районах. Видно, что в опытном районе значения как потенциальной плодовитости, так и эмбриональной смертности имеют тенденцию к снижению, хотя, если сравнивать между собой отдельные годы (1989—1990, 1990—1991, 1989—1991), отличия не являются статистически достоверными. В контрольной популяции закономерных изменений потенциальной плодовитости и эмбриональной смертности не обнаружено, оба параметра держатся примерно на одном уровне.
Рис. 1. Динамика плодовитости и эмбриональной смертности в популяциях рыжей полевки (сплошная линия — контрольная популяция, прерывистая — опытная популяция).
При сравнении попарно данных по величине потенциальной плодовитости и эмбриональной смертности в опытной и контрольной популяциях отдельно по годам достоверные изменения были выявлены только по величине эмбриональной смертности в 1989 и 1990 гг. Учитывая, что тенденции изменения исследуемых параметров в обеих популяциях в течение всего периода наблюдений однотипны, мы объединили данные по всем трем годам в каждой из популяций и вычислили средние значения плодовитости и эмбриональной смертности в опытной и контрольной популяциях.
Были получены следующие результаты. По величине потенциальной плодовитости (количеству закладывающихся эмбрионов) опытная популяция несколько превосходит контрольную. Среднее значение потенциальной плодовитости в условиях Нижнекамска составило 6,3 эмбриона на самку, в то время как в контрольной популяции— 5,7 (Р<0,01). Фактическая же плодовитость в опытной популяции ниже в среднем на 0,3 э/с (Р<0,1) : в опытной популяции — 5,4 э/с, в контрольной— 5,7 э/с. Нетрудно оценить в данном случае размер гибели до имплантации: в популяции г. Нижнекамска эмбриональная смертность равняется 9,5%, в контрольной — 5,3% (Р<0,1). Таким образом, в популяции, обитающей в районе г. Нижнекамска, эмбриональная смертность повышена по сравнению с контрольной на 4,1 %.
При анализе популяций дрозофилы в целях генетического мониторинга мы руководствовались следующими основными идеями. Необходимо было оценить, как меняется плодовитость у одних и тех же самок в репродуктивном периоде в условиях эксперимента после выведения линий из условий лаборатории, то есть какова доля средовой варианты в общей изменчивости признака плодовитости в условиях нашего эксперимента. Если она окажется не очень большой, то следует остановиться на такой методике, которая позволяет оценить плодовитость однократно, но при большей выборке, с увеличением вариационного ряда для оценки средней. Требовалось определить изменчивость таких признаков, как величина гибели на стадии яйца (концентрация ДМЛ), личинки, куколки и общей гибели в ряду поколений с целью выбора наиболее чувствительных параметров в сравнительном анализе их динамики в условиях Нижнекамска и в контроле.
При условии положительного результата в решении двух первых задач предусматривалось проведение длительного многолетнего анализа динамики выбранных параметров в условиях Нижекамска и контроле (Кляуши), а также сравнительного анализа в двух параллельно культивирующихся популяциях по той же методике с оценкой степени однотипности наблюдающихся в них тенденций. Кроме того, предполагалось провести углубленный анализ характера влияния условий Нижнекамска на генетическую структуру популяций дрозофилы, который включал бы оценку степени наследуемости приобретенных изменений и лабораторные опыты по оценке динамики эколого-генетических параметров в популяциях мух при содержании их в парах основного компонента атмосферных загрязнителей— этилена.
- Оценка дисперсии плодовитости у дрозофилы в условиях природного эксперимента. Первой нашей задачей было оценить величину дисперсии плодовитости в опытном и контрольном районах. Лабораторные линии дрозофилы представляют собой достаточно однородную систему, и амплитуда колебаний эколого-генетических параметров в них обычно невелика. При вывозе таких линий в природу факторы абиотической среды могут привести не только к резко различающейся средней исследуемых показателей в отдельных поколениях, но и к большой дисперсии последних в одной и той же генерации. Поэтому в первый год исследований (1989) мы брали относительно небольшую выборку мух для анализа, но каждый интересующий нас показатель оценивали в трехкратной повторности у одних и тех же самок в течение всего репродуктивного периода их онтогенеза. Результаты представлены в табл. 1. Таким образом, были проведены 4 серии экспериментов. Из них в трех прослеживалась следующая тенденция: плодовитость в первом варианте опыта выше, а концентрация ДЛМ, ГЛК и общая гибель ниже. Обратная картина наблюдалась лишь в варианте F 1 Кляуши. Учитывая этот факт, в дальнейших экспериментах по оценке характера динамики эколого-генетических признаков у дрозофилы мы считали обоснованной однократную оценку интересующих нас параметров в поколении при одновременном увеличении за счет этого выборки анализируемого варианта.
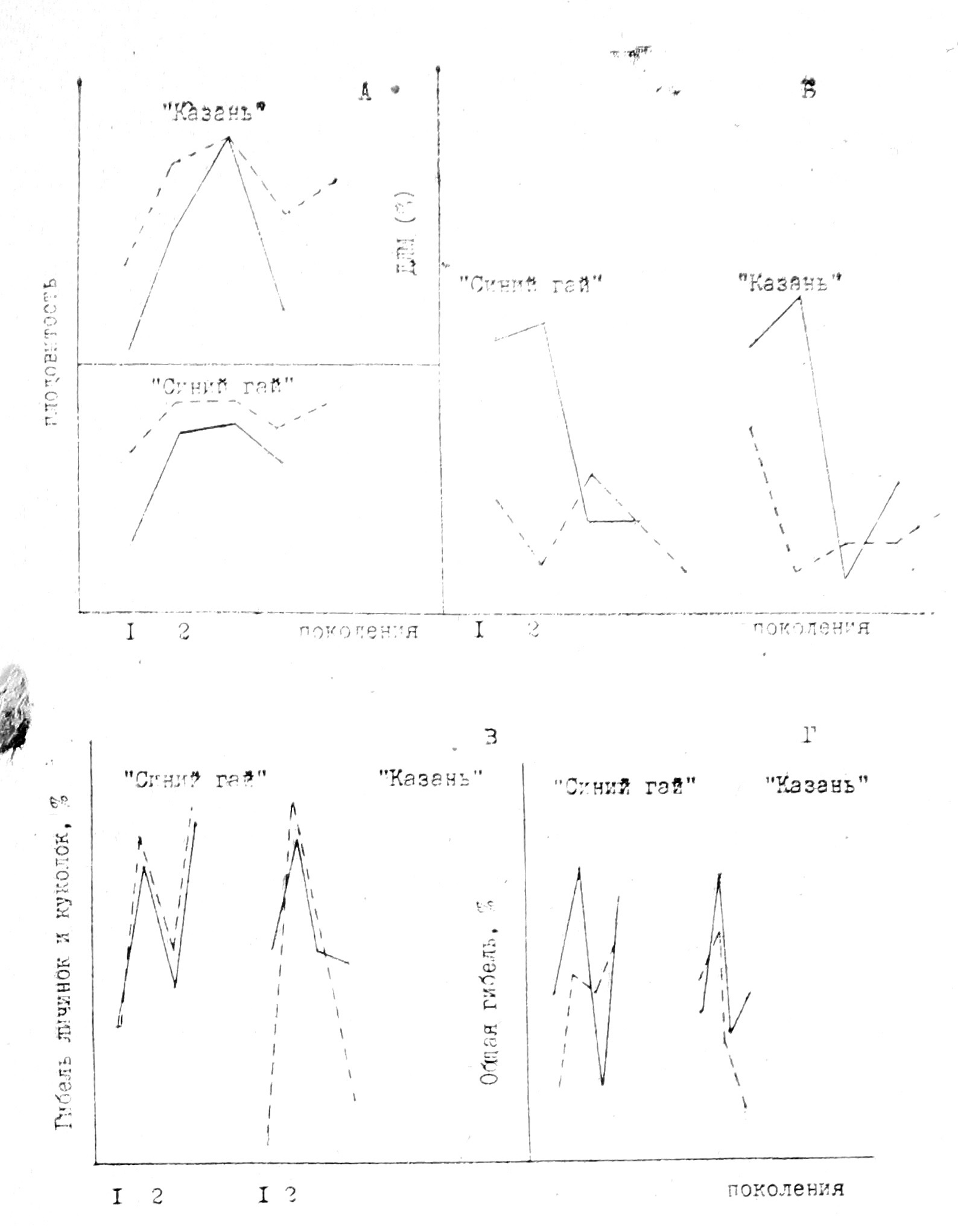
- Динамика плодовитости и некоторых параметров жизнеспособностью в ряду поколений у дрозофилы. В данном параграфе рассмотрим динамику плодовитости, ДЛМ, личиночной, куколочной и общей гибели в двух параллельно культивировавшихся популяциях— «Синий Гай» и «Казань». Эксперименты проводили во второй год исследований как в опытном районе, так и в контрольном, то есть число серий опыта составляло 4 (каждая в четырехкратной повторности), и имели целью выявление детального характера динамики этих параметров в ряду поколений, амплитуды их колебаний, дисперсии в отдельных поколениях и заключительный сравнительный анализ в парных популяциях. Результаты представлены на рис. 2.
Таблица 1
Динамика физиолого-генетических параметров (в %) в онтогенезе самок дрозофилы в опытных (о) и контрольных (к) условиях
Поколения и варианты | Плодовитость | ДЛМ | ГЛК | Общая гибель | |
F1(о) | 1 | 41,7±1,2 | 14,0±0,5 | 27,6±0,7 | 37,7±0,7 |
2 | 34,0±1,0 | 18,9±0,6 | 20,9±0,8 | 35,8±0,8 | |
3 | 33,7±1,3 | 24,7±0,7 | 26,7±0,9 | 44,9±0,9 | |
F2(о) | 1 | 77,8±2,1 | 7,0±0,3 |
|
|
2 | 62,34±2,0 | 11,3±0,4 |
|
| |
3 | 60,0±2,2 | 10,3±0,4 |
|
| |
F1(к) | 1 | 44,3±4,4 | 8,9±0,6 | 17,0±0,9 | 24,4±1,0 |
2 | 56,1±4,8 | 4,9±0,6 | 20,9±1,2 | 24,7±1,2 | |
F2(к) | 1 | 59,0±1,5 | 5,4±0,3 | 13,4±0,4 | 18,1±0,4 |
2 | 46,4±1,5 | 5,4±0,3 | 18,0±0,5 | 22,4±0,5 | |
3 | 40,6±1,8 | 5,7±0,3 | 17,5±0,6 | 22,2±0,6 | |
Видно, (рис. 2а), что в течение сезона размножения плодовитость исследуемых мух испытывает плавные изменения с пиком в середине, причем как в популяции «Синий Гай», так и в популяции «Казань» кривая динамики плодовитости в контрольном варианте выше, чем в опытном. Иными словами, на протяжении всего сезона размножения наблюдалась стабильность в выражении функции плодовитости с весьма заметным угнетением ее в вариантах, культивировавшихся в районе Нижнекамска.
Рис. 2. Динамика плодовитости (А), концентрации ДЛМ (Б), ГЛ К (В) и общей гибели (Г) в двух популяциях дрозофилы («Казань» и «Синий Гай») в течение сезона размножения. Обозначения: сплошная линия — контроль, прерывистая — опыт.
Несколько большая амплитуда колебаний отмечена в динамике концентрации ДЛМ (рис. 2 б), однако и в данном случае можно отметить определенную тенденцию: в опытных вариантах обеих исследованных популяций значения ДЛМ в отдельных поколениях, как правило, выше, чем в контрольных. Таким образом, темп спонтанного мутагенеза по доминантным летальным мутациям в Нижнекамске выше, чем в контроле, где кривые динамики этого параметра испытывают незначительные колебания примерно на одном уровне.
Незакономерные изменения отмечены при анализе кривых динамики ГЛК (рис. 2 в). Для них характерна значительная амплитуда колебаний, что не позволяет вывести общую тенденцию динамики этого параметра в течение сезона и в парных популяциях. Аналогичный ход кривых как в опыте, так и в контроле в обеих популяциях свидетельствует, по-видимому, о генетической неустойчивости этого признака и большой доле средовой вариансы в его общей изменчивости. Такая картина может объясняться еще и тем, что анализ ГЛК в популяции (в отличие от анализа плодовитости и концентрации ДЛМ) по условиям методики проводится уже в лаборатории спустя достаточный период времени. Такое лабораторное содержание, безусловно, может отражаться на выражении таких генетически малозакрепленных признаков. Поэтому в дальнейшем при анализе популяций дрозофилы мы исключили этот параметр, компенсируя это увеличением выборки при анализе плодовитости и ДЛМ.
Хаотичный характер динамики личиночной и куколочной гибели накладывает отпечаток и на характер динамики общей гибели в популяциях обоих вариантов (рис. 2 г), где также трудно выявляется общая тенденция в ходе кривых как в опыте, так и в контроле.
Анализ характера динамики рассмотренных параметров в популяциях дрозофилы в течение сезона размножения показал, что наиболее иллюстративными (с большей генетической составляющей в общей изменчивости и с большей чувствительностью) признаками являются плодовитость и концентрация доминантных деталей, именно их мы использовали в дальнейших экспериментах. Что касается сезонной динамики плодовитости и концентрации ДЛМ в 1991 г., то на протяжении всего периода наблюдений в Нижнекамске плодовитость была ниже, а концентрация ДЛМ выше, чем в контроле. Поскольку указанное справедливо для обеих исследовавшихся популяций, которые культивировались независимо друг от друга, можно сделать два предварительных заключения, касающихся как характера влияния условий Нижнекамска на популяции дрозофилы, так и методики ведения последующих экспериментов:
— содержание дрозофилы в течение сезона размножения в условиях Нижнекамска приводит к угнетению функции плодовитости и повышению темпа спонтанного мутагенеза по ДЛМ в популяциях;
— однотипность хода кривых динамики плодовитости и концентрации ДЛМ в ходе сезона размножения позволяет усреднять данные по отдельным поколениям для выведения среднего значения рассматриваемых параметров в целом за определенный год исследований.
Такого рода динамику средних значений плодовитости и концентрации ДЛМ по годам мы рассмотрим в следующем параграфе.
- Многолетняя динамика средних значений некоторых эколого-генетических параметров в популяции дрозофилы. В данном параграфе представлены результаты многолетнего анализа динамики средних по эколого-генетическим параметрам в популяции «Синий Гай», который осуществлялся в течение трех лет в Нижнекамске и в контрольном районе (табл. 2). Каждая цифра в таблице является результатом обоснованного в предыдущем параграфе усреднения данных по всем поколениям (их было 5—6).
Таблица 2
Средние годовые значения (в %) эколого-генетических параметров в популяции «Синий Гай»
Параметры | 1989 г. | 1990 г. | 1991 г. | |||
опыт | контроль | опыт | контроль | опыт | контроль | |
Плодовитость | 52 | 49 | 56 | 69 | 68 | 78 |
ДЛМ | 14,8 | 6,2 | 7,3 | 6,3 | 6,0 | 4,0 |
РЛМ | 6,9 | 20,5 | 13,0 | 12,9 | 12,3 | 9,1 |
Видно, что средние значения плодовитости в опытном варианте в 1990 и 1991 гг. ниже, чем в контрольном. В 1989 г. они были примерно равны. Значения концентрации ДЛМ на протяжении всех трех лет исследования в Нижнекамске были выше, чем в контрольном районе.
В отношении концентрации РЛМ показано следующее. В 1989 г. анализ велся по Х-хромосоме. Лабораторная линия перед началом эксперимента дала крайне высокий фон насыщенности леталями (20%). Видимо, это обстоятельство сказалось и на итогах эксперимента: 20.5% — в контроле и 6,9%—в опыте. Объяснить такой результат можно только тем, что вследствие высокой насыщенности исходной линии леталями по Х-хромосоме произошло полное очищение популяции, культивировавшейся в Нижнекамске, и процесс насыщения был начат вновь. В контрольном районе в силу более мягких условий такого не случилось, и в итоге контрольная популяция дала крайне высокий процент рецессивных леталей по Х-хромосоме.
В 1990—1991 гг. анализ динамики концентрации РЛМ проводился по 2-й хромосоме. В оба сезона насыщение популяции РЛМ по этой хромосоме в условиях Нижнекамска происходило интенсивнее, чем в контрольном районе (табл. 2).
Таким образом, анализ популяций «Синий Гай» в течение трех сезонов размножения показал, что в условиях Нижнекамска плодовитость самок дрозофилы ниже, темп спонтанного мутагенеза по ДЛМ выше, а насыщение популяции рецессивными леталями интенсивнее, чем в контрольной популяции.
В табл. 3 даны результаты сравнительного анализа средних параметров многолетней динамики попарно в опытном и контрольном районах отдельно по двум независимым популяциям.
Из табл. 3 видно, что как в популяции «Синий Гай», так и в популяции «Казань» наблюдаются одинаковые тенденции: в опытных линиях снижена плодовитость, увеличена концентрация ДМЛ и РЛМ. Поскольку изложенное справедливо для обеих независимо культивировавшихся в районе Нижнекамска популяций, можно вполне обоснованно заключить, что развитие популяций дрозофилы в условиях атмосферного загрязнения в районе Нижнекамска приводит к угнетению функции плодовитости и увеличению темпа спонтанного мутагенеза, оцениваемого по изменению концентрации доминантных и рецессивных летальных мутаций.
Таблица 3
Средние многолетние значения плодовитости и концентрации мутаций в двух популяциях в опытном и контрольном районах
Популяция | Плодовитость (яиц/самку) в 1991г. | ДЛМ,% | РЛМ,% | Плодовитость (яиц/самку) среднем за 1990-1991гг. | ДЛМ,% | РЛМ,% |
«Синий Гай» | ||||||
опыт | 68 | 6,0 | 12,3 | 58 | 9,4 | 14,2 |
контроль | 78 | 4,0 | 9,1 | 65 | 5,5 | 10,7 |
«Казань» |
| |||||
опыт | 63 | 5,8 | 14,6 | 61 | 5,6 | — |
контроль | 76 | 3,5 | 8,8 | 69 | 5,5 | — |
- Наследование изменений, приобретенных в результате культивирования в природе, а также в опытных и контрольных популяциях дрозофилы. В данном параграфе приведены результаты сравнительного анализа некоторых эколого-генетических параметров родительского поколения, которое развивалось в опытных и контрольных условиях, и дочернего, полуденного от мух, привезенных из соответствующих районов (последнее развивалось в одинаковых условиях лаборатории). Приведены данные по обеим независимо культивировавшимся популяциям — «Синий Гай» и «Казань», так что эксперимент имеет в общей сложности две полные серии.
Таблица 4
Значения плодовитости и концентрации ДЛМ в родительской и дочерней генерациях в разных вариантах эксперимента
Поколения | Опыт | Контроль | ||
плодовитость | ДЛМ | плодовитость | ДЛМ | |
Первая серия |
|
|
|
|
Родители | 66 | 7 | 69 | 6 |
Дочки | 76 | 4 | 61 | 4 |
Вторая серия |
|
|
|
|
Родители | 59 | 6 | 62 | 7 |
Дочки | 63 | 5 | 52 | 5 |
Видно, что в контрольных линиях обеих серий в родительском поколении плодовитость выше, чем в дочернем. Для первой серии эта разность составляет 8 яиц, для второй — 10. Таким образом, если мухи развиваются в условиях контрольного района, то их плодовитость выше, чем при перенесении культуры в условия лаборатории.
В линиях опытного варианта картина наблюдается обратная: родительское поколение, которое развивалось в условиях Нижнекамска, имеет Г плодовитость ниже, чем дочернее, полученное в лабораторных условиях. Для первой серии эта разность составляет 20 яиц, для второй — 4. Поскольку выборка при анализе была достаточно велика (каждая серия включала анализ пяти поколений по 120 самок в каждом), можно с достаточной уверенностью констатировать тот факт, что в условиях Нижнекамска происходит существенное угнетение функции плодовитости дрозофилы по сравнению не только с контрольным вариантом, но и с культурой, развивающейся в лаборатории. Если при переносе мух из контрольного района в лабораторию их плодовитость даже несколько уменьшается, то при переносе мух в лабораторные условия из Нижнекамска их плодовитость существенно увеличивается. Иными словами, в условиях Нижнекамска наблюдается значительное угнетение функции плодовитости, в то время как в контрольном районе ее отправление интенсифицированно.
Параллельно с плодовитостью в данной серии экспериментов оценивалось и изменение концентрации ДЛМ в популяциях при переносе их из опытного и контрольного районов в одинаковые условия лаборатории. Из табл. 4 видно, что в обеих сериях концентрация ДЛМ в дочернем поколении снижается, что связано, видимо, со стабилизацией внешних факторов в условиях лабораторного ведения культуры.
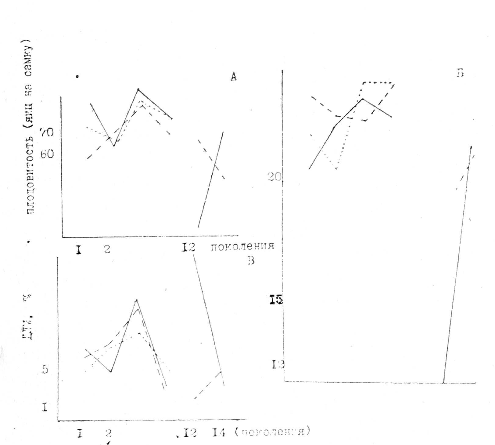
5. Динамика популяций при воздействии этилена. Рассмотрим в первую очередь изменение плодовитости и концентрации ДЛМ в популяциях дрозофилы при однократном действии этилена. На рис. 3 представлена динамика среднесуточной плодовитости. Видно, что кривая ПДК (обработка линий газом в предельно допустимой концентрации) расположена ниже, чем контроль (за исключением 2-го поколения). Та же закономерность в несколько нивелированном виде отмечается при сравнении вариантов ПДК/ 10 (обработка линии газом в концентрации в 10 раз меньше предельно допустимой) и контроль.
Рис. 3. Динамика плодовитости (А), дисперсии плодовитости (Б) и концентрации ДЛМ (В) в популяциях дрозофилы при действиях этилена. Обозначения: сплошная линия — контроль, крупнопрерывистая — ПДК/10, мелкопрерывистая — ПДК (объяснения в тексте).
Учитывая то, что исследованные поколения можно принять за повторности опыта (степень эволюции популяций за такой короткий промежуток времени невелика), мы усреднили данные по всем соответствующим поколениям и получили, что средняя плодовитость в варианте ПДК составляет 72 яйца/самку, в варианте ПДК/ 10 — 76 яиц/самку, в то время как в контроле — 80 яиц/самку.
Таким образом, однократное воздействие этилена на стадии личинки приводит к снижению плодовитости имаго, причем угнетение прямо пропорционально увеличению концентрации газа в окружающей среде.
Одним из важных параметров при оценке характера влияния какого-либо фактора на плодовитость является дисперсия плодовитости и функционально связанное с ней среднеквадратичное отклонение. Динамика этого параметра представлена на рис. 3 б. При внешнем отсутствии закономерных изменений в исследованных вариантах опыта можно отметить параллельный ход кривых в контроле и ПДК, возможные причины которого будут обсуждены ниже.
На рис. 3 в представлены результаты оценки динамики концентрации ДЛМ в исследованных линиях. Видна относительно низкая концентрация ДЛМ в варианте ПДК. Маловероятно, что ПДК этилена в среде оказывает менее пагубное действие, чем в 10 раз пониженная. Скорее всего, обнаруженный эффект связан с тем, что при высоких концентрациях этилена большинство малоустойчивых к этилену особей гибнет на стадии личинки, и при оценке концентрации ДЛМ в скрещивании участвуют лишь выжившие, устойчивые к этилену самки, что искусственно снижает величину ДЛМ в оцениваемой выборке. Провести же дифференциацию особей в ходе воздействия газом при использовании нашей методики не представляется возможным.
Относительно высокая амплитуда колебаний концентрации ДЛМ в контрольном варианте свидетельствует о нестабильности этого параметра в целом в данных условиях, чем, видимо, объясняется одинаковая величина концентрацин ДЛМ, полученная при усреднении данных по всем поколениям для линий «контроль», «ПДК» и «ПДК/10» (соответственно 6,8%, | 6,0% и 6,7%).
Рассмотрим динамику популяции дрозофилы при хроническом воздействии этилена, которое осуществлялось в течение шести поколений в линии ПДК/10 (на рис. 3 этот период обозначен заштрихованной зоной). Последующая оценка плодовитости и концентрации ДЛМ показала следующие результаты:
- физиологическое состояние линии ПДК/10 было лучше, чем в линии контроля (более ранний лёт имаго, меньшая смертность личинок, их большая активность, оцениваемые визуально);
- безусловная оптимизация по признаку плодовитости: разность в среднепопуляционных значениях индивидуальной кладки самок линий ПДК/10 и контроля составляет 36 яиц в пользу первых; после снятия хронического действия этилена восстанавливается обратное соотношение в пользу контрольной линии;
- дисперсия плодовитости при воздействии этиленом значительно выше, чем в контроле, после снятия действия этилена картина меняется на обратную (рис. 3 б);
- в варианте ПДК/10 значительно снижена концентрация ДЛМ, после снятия действия картина меняется на обратную (рис. 3 в).
В целом хроническое действие этилена имеет результатом повышение плодовитости, ее дисперсии и снижение темпа спонтанного мутагенеза по доминантным леталям.
Рассмотрим результаты оценки концентрации РЛМ в линиях, подвергавшихся однократному и хроническому действию этилена (рис. 4). Видно, что даже при относительно высоком исходном фоне (более 10%) в варианте ПДК и ПДК/10 при однократном действии концентрация РЛМ значительно увеличивается. В хроническом режиме, которому далее подвергалась линия ПДК/10, чистота леталей по 2-й хромосоме также существенно возрастает. В этом плане к объяснению можно привлечь результаты оценки динамики популяций в парах этилена различной концентрации. Важен факт адаптации особей к этилену. При этом, однако, растет дисперсия плодовитости, что служит показателем снижения общей неспецифической устойчивости линий. Параллельные изменения дисперсии плодовитости при действии этилена и в контроле объясняются, по-видимому, элиминацией трансгрессирующих вариантов при высокой концентрации этилена в среде. Соответственно анализируемая линия состоит из устойчивых к этилену особей, фенокопий контроля.
Рис. 4. Динамика РЛМ (по 2-й хромосоме) в популяциях дрозофилы при воздействии этилена: А — при однократном воздействии; Б— при хроническом воздействии, В — контроль.
В пользу такой точки зрения свидетельствует и явное несходство изменений в популяции при высокой и низкой концентрациях этилена в среде, то есть при мягком действии этилена; происходит не элиминация, а накопление мутирующих или неустойчивых к этилену особей. Поэтому структура популяции по признаку плодовитости, связанному с приспособленностью особей в популяции, различается при мягком и жестком действиях этилена.
Незакономерные изменения частоты ДЛМ при однократном действии этилена объясняются, по-видимому, дифференциальной гибелью личинок при обработке этиленом; в то же время очевиден рост частоты РЛМ в популяции как при мягком, так и жестком действиях этилена.
Характер перестройки структуры популяции в хроническом режиме этилена (низкие значения дисперсии плодовитости в контроле и высокие — при действии этилена) свидетельствует в пользу того, что в замкнутом пространстве (в нашем случае в эксикаторах без непрерывного поступления кислорода) идет жесткий стабилизирующий отбор по плодовитости. Этилен же в небольших концентрациях в среде, видимо, несколько смягчает давление отбора, и дисперсия плодовитости достигает значительных величин. Принято считать, что положительная роль стабилизирующего отбора заключается в элиминации малоприспособленных особей, параметры которых по разным признакам, в том числе плодовитости, значительно отличаются от моды распределения последних. Этот тезис подтверждается в нашем случае разницей в частоте РЛМ при сравнении результатов контрольной линии и линии, подвергавшейся мягкому действию этилена как в начале хронического режима, так и по истечении шести поколений опыта (5 и 8% соответственно). Таким образом, наблюдая оптимизацию в линии по физиологическим признакам при мягком действии этилена, мы должны признать снижение приспособленности особей при хроническом воздействии, в частности рост концентрации РЛМ в этой линии.
Заключение
В настоящее время наблюдаются два основных направления в изучении влияния человеческой деятельности на живую природу. Первый аспект включает исследование видового состава и структуры популяций отдельных видов в антропогенном ландшафте. Второе направление — экспериментальное. Оно предусматривает установление ПДК различных химических веществ, не нарушающих жизнедеятельность живых организмов, и оценку этих видов на выживаемость, рост и развитие отдельных особей. Экспериментальное исследование биологических особенностей животных в условиях антропогенного воздействия остается на текущий момент единственным средством, имеющим прогностическую ценность, что позволяет связать настоящее и будущее экосистем [6].
Степень адаптации популяций к антропогенному прессингу зависит от диапазона изменчивости этих видов. Наиболее пластичные, имеющие широкую норму реакции, вырабатывают определенные приспособления, позволяющие сохранять репродуктивный потенциал популяций в условиях антропогенного ландшафта. В нашем случае примером этого является повышенная потенциальная плодовитость в популяциях рыжей полевки, обитающей в районе г. Нижнекамска. Наследственно закрепленный процесс сохранения вариантов с большим числом закладывающихся яйцеклеток позволяет компенсировать большую гибель эмбрионов до имплантации, что держит фактическую плодовитость в этой популяции на уровне, существенно не отличающемся от контроля.
Смещение кривой распределения закладывающихся яйцеклеток вправо в условиях антропогенного ландшафта зафиксировано не только нами [7] и, по-видимому, не является единственным механизмом адаптации популяций к таким условиям. Показано изменение пространственной структуры, показателей общего и частного обилия и других параметров в популяциях мышевидных грызунов на техногенных территориях [5]. Проведение такого экологического анализа в популяциях, обитающих в Нижнекамске, представляется насущной задачей. Комплексность таких исследований подразумевает также изучение популяций животных других видов, особенно обитающих в почве и воде. Рядом исследователей установлено смещение популяционных характеристик в популяциях амфибий на техногенной территории [2, 3, 5]. Подобные исследования в окрестностях Нижнекамска также представляются необходимыми.
Любой микоэволюционный сдвиг в популяции, особенно на техногенной территории обычно сопровождается изменениями в генетической структуре популяций. Для мышевидных грызунов это могут быть цитогенетические сдвиги [4], для животных других видов — другие типы генетических сдвигов.
В нашей работе показано, что в условиях Нижнекамска наблюдается индуцированный мутагенез по доминантным и рецессивным деталям в популяциях дрозофилы. Использование последних в эксперименте позволило исключить из анализа результатов не только влияние абиотических факторов, но и степень адаптации популяций к опытным условиям. Благодаря быстрой смене поколений в популяциях дрозофилы можно пренебречь микроэволюционными сдвигами и однозначно оценить степень насыщения популяции мутациями в условиях антропогенного ландшафта. Детально разработанная методика такой оценки, занявшей большую часть представленной статьи, свидетельствует о принципиальной возможности использования лабораторных линий дрозофилы в природном эксперименте по изучению степени мутагенности промышленных выбросов. В данном случае такие линии выступают как тест- система, способная в краткие сроки и в любом районе дать оценку темпа индуцированного мутагенеза в техногенном ландшафте.
Безусловно, что природные популяции животных и растений вырабатывают компенсационные механизмы, позволяющие относительно успешно репродуцироваться в условиях антропогенного прессинга. Насколько сильны такие сдвиги в эколого-генетической структуре популяций, обитающих в окрестностях Нижнекамска, и каков порог их чувствительности к техногенному загрязнению среды, должны показать дальнейшие исследования.
About the authors
S. M. Okulova
Institute of Ecology of Natural Systems of the Academy of Sciences of the Republic of Tatarstan
Author for correspondence.
Email: info@eco-vector.com
Department of Ecology of Terrestrial Ecosystems
Russian Federation, KazanR. A. Grinko
Institute of Ecology of Natural Systems of the Academy of Sciences of the Republic of Tatarstan
Email: info@eco-vector.com
Department of Ecology of Terrestrial Ecosystems
Russian Federation, KazanT. B. Kalinnikova
Institute of Ecology of Natural Systems of the Academy of Sciences of the Republic of Tatarstan
Email: info@eco-vector.com
Department of Ecology of Terrestrial Ecosystems
Russian Federation, KazanReferences
Supplementary files






