Early detection of prescoliotic condition in children
- Authors: Shaikhutdinov I.I.1,2, Latypov A.L.1,2, Eremeev A.M.1,2
-
Affiliations:
- Lenin Kazan Institute for Advanced Medical Training
- Ulyanov-Lenin Kazan University
- Issue: Vol 70, No 3 (1989)
- Pages: 196-199
- Section: Articles
- Submitted: 30.01.2022
- Accepted: 30.01.2022
- Published: 15.06.1989
- URL: https://kazanmedjournal.ru/kazanmedj/article/view/99868
- DOI: https://doi.org/10.17816/kazmj99868
- ID: 99868
Cite item
Full Text
Abstract
The main objective of our work was the electromyographic study of paravertebral muscles in children, identification of the asymmetry of their electrical activity on both sides of the spine and subsequent observation in dynamics of the state of posture and the nature of changes in the above asymmetry. Materials included data from electromyographic and clinical examinations of 151 children, conducted three times at intervals of 1-1.5 years. At the initial examination, the children were between 3 and 7 years of age. The clinical section consisted of a thorough examination and assessment of the children's posture and detection of initial signs of scoliosis.
Keywords
Full Text
Эффективность лечения такого распространенного заболевания, как сколиоз, прямо зависит от сроков его выявления, поэтому разработка новых методов ранней диагностики сколиоза имеет существенное значение. Кроме того, до сих пор не выяснены этиология и патогенез большой группы идиопатических сколиозов. При изучении паравертебральных мышц у трупов детей до трехлетнего возраста, новорожденных и плодов, не имевших патологии позвоночника, обнаружены различия в морфологическом строении указанных мышц, заключавшихся в дегенеративных изменениях мышечных волокон и пучков с одной стороны позвоночника [1]. Эту картину авторы рассматривают как проявление врожденной мышечной дисплазии, которая, возможно, каузально связана со сколиозом. Наличие значительных морфологических изменений мышц не может не повлиять на их электрическую активность и функцию.
Среди работ, посвященных ранней диагностике сколиоза у детей, определенный интерес представляют электромиографические исследования мышц туловища. Авторами этих исследований выявлена асимметрия электрической активности мышц, расположенных с обеих сторон от позвоночника [2, 3]. По их предположению, асимметрия функционального состояния мышц при нормальной осанке со временем может привести к ее нарушению или к развитию сколиоза. Однако до настоящего времени связь между функциональной асимметрией паравертебральных мышц у детей и патогенезом сколиоза изучена недостаточно, и результаты немногочисленных исследований не доведены до уровня практического приложения.
Основной целью нашей работы являлось электромиографическое исследование паравертебральных мышц у детей, выявление асимметрии их электрической активности с обеих сторон от позвоночника и последующее наблюдение в динамике за состоянием осанки и характером изменений указанной асимметрии.
Материалы включают данные электромиографических и клинических исследований 151 ребенка, проведенных 3 раза с промежутками в 1 —1,5 года. При первичном обследовании дети были в возрасте от 3 до 7 лет. Клинический раздел состоял из тщательного осмотра и оценки состояния осанки детей, а также выявления начальных признаков сколиоза. Некоторые дети по необходимости были консультированы невропатологом. При наличии клинических признаков сколиоза осуществляли спондилографию. У детей со сколиозом изучали данные анте- и перинатального анамнеза. У всех детей производили электромиографическое (ЭМГ) исследование паравертебральных мышц с помощью 2-канального электромиографа «Медикор». Усиление биопотенциалов составляло 10—50 мкВ/мм. Электрическую активность отводили накожными электродами с паравертебральных мышц слева и справа от позвоночника на уровне VI—VII грудных и II—III поясничных позвонков. Запись ЭМГ осуществляли в положении детей лежа на животе в покое, при подъеме головы (умеренная нагрузка) и при одновременном подъеме головы и вытянутых ног (максимальная нагрузка). Электромиограммы обрабатывали автоматически с помощью интегратора. Для анализа полученных данных использовали показатель асимметрии электрической активности паравертебральных мышц. Этот показатель представлял собой разницу между амплитудами электрической активности мышц справа и слева, выраженную в процентах, причем за 100% всегда брали большее значение амплитуды. Из 2 проб учитывали ту, в которой показатель асимметрии был более выраженным. О достоверности различий судили по критерию Стьюдента. Статистическую обработку проводили на ЭВМ «Электронита» ДЗ-28.
Результаты первичного обследования 151 ребенка показали, что 84 из них имели нормальную осанку, 65— нарушенную, у 2 детей был диагностирован сколиоз I степени. При ЭМГ-исследовании паравертебральных мышц установлено, что в покое, при полном расслаблении мышц, электрическая активность отсутствует. При функциональных нагрузках во всех случаях была зарегистрирована интерференционная ЭМГ-активность. Частота и амплитуда потенциалов у разных детей варьировали. Асимметрия электрической активности паравертебральных мышц была обнаружена у всех обследованных. В большинстве наблюдений она составляла 1—30%. У детей с нормальной осанкой по результатам первичного обследования величина асимметрии электрической активности паравертебральных мышц в грудном отделе равнялась в среднем 18,4±1,1%, в поясничном—19,8±1,4%, при нарушениях осанки — соответственно 23,4±1,5% и 21,9±1,9%.
Через 1 —1,5 года 131 ребенок был обследован повторно. У 60 детей установлена нормальная осанка, у 52 из них при первичном обследовании осанка была в пределах нормы, у 8 — с отклонениями. У 57 детей обнаружены нарушения осанки, у 41 из них они были уже при первом обследовании, у 16— отсутствовали. У 12 детей впервые был определен сколиоз, у 5 из них при первичном осмотре была нормальная осанка и у 7 - нарушенная. По данным второго обследования величина асимметрии электрической активности паравертебральных мышц справа и слева у детей с нормальной осанкой в грудном отделе составляла 18,2±1,3%, в поясничном—19±1,3%, при нарушениях осанки — соответственно 20,2 ± 1,6% и 21,3±1,7%. При сколиозе асимметрия была значительно выраженнее, чем у детей с нормальной и нарушенной осанкой,— соответственно 31,9±2,7% (Р<0,01), 15,3±2,6% (Р<0,05).
Третье клиническое и ЭМГ-обследование было проведено у 68 детей. У 25 детей нарушений осанки не обнаружено, у 20 из них при первом обследовании была нормальная осанка, а у остальных 5 детей отмечались ее отклонения. У 29 детей осанка была нарушенной, причем у 22 из них она была такой уже при первичном обследовании, а у остальных 7 детей была в норме. Сколиоз определен у 14 детей, из них у 6 — впервые. 4 из этих детей имели при первом обследовании нормальную осанку и 2— нарушенную. По данным ЭМГ-обследования, величина асимметрии электрической активности паравертебральных мышц у детей с нормальной осанкой составляла в грудном отделе 20,7±2,3%, в поясничном —21,5±2,4%, при нарушениях осанки — соответственно 21,2±2,2% и 24,7 ± 2,3%. У детей со сколиозом по-прежнему была высокая степень асимметрии электрической активности мышц: в грудном отделе —36,9±3,7%, в поясничном —36,0±5,1%, что выше, чем у детей с нормальной (грудной отдел — Р<0,001, поясничный — Р<0,01) и нарушенной (грудной отдел — Р<0,001, поясничный — Р<0,05) осанкой.
Наши наблюдения продолжались 2—2,5 года. При анализе результатов клинических исследований в динамике были обнаружены различные варианты изменения состояния осанки. В частности, при втором и третьем осмотрах у части детей была выявлена нормализация осанки, хотя при первом осмотре она была нарушенной; у других же, наоборот, произошло ухудшение осанки по сравнению с первичными данными. У некоторых детей появилась сколиотическая деформация позвоночника. Исходя из полученных результатов мы выделили 6 групп детей.
В 1-ю группу вошли дети, сохранявшие нормальную осанку на протяжении всего периода наблюдения. У детей 2-й группы при первом обследовании нарушений осанки не было, но при втором или третьем осмотре они уже имелись. 3-ю группу составили дети, у которых нарушения осанки фиксировалось на протяжении всего периода наблюдений. У детей 4-й группы отмечалась нормализация осанки, которая при первом осмотре была с отклонениями. К 5-й группе были отнесены дети, которые при первом обследовании имели нормальную осанку, а за время нашего наблюдения у них развился сколиоз. И, наконец, в 6-ю группу включены дети, у которых нарушения осанки, замеченные при первом осмотре, трансформировались в сколиоз.
Мы провели анализ данных ЭМГ-исследования паравертебральных мышц у детей всех 6 групп. В 1—4-й группах величина асимметрии электрической активности этих мышц в грудном отделе за весь период наблюдения находилась в пределах от 17± 1,4% до 24,6±4,6%, в поясничном отделе — от 15,6±2,9% до 27,1 ± 3,1%. Достоверных различий между значениями асимметрии как внутри каждой группы, так и между разными группами не обнаружено. У детей 6-й группы величины асимметрии в грудном отделе изменялись от 23,1 ±5,8% до 32,0±3,1%, в поясничном — от 21,1±3,9% до 37,8±9,0%. Достоверных различий между величинами асимметрии
внутри группы не было, однако при втором и третьем обследованиях асимметрия электрической активности мышц в грудном отделе была достоверно значительнее, чем у детей 1—3-й групп. В поясничном отделе эти различия проявлялись в меньшей степени.
Особый интерес представляли дети 5-й группы, у которых уже при первом обследовании была выраженная асимметрия в грудном отделе (30,2±3,3%), при третьем обследовании она возросла до 45,3 ± 6,3%, (Р<0,05). Необходимо особо отметить, что по данным первичного обследования, то есть когда эти дети еще имели нормальную осанку, обнаруженная у них в грудном отделе асимметрия электрической активности мышц была достоверно выше, чем у детей, сохранявших нормальную осанку (1-я группа, Р<0,001), и у детей с ее нарушениями (2-я группа, Р<0,01). В поясничном отделе такой закономерности не выявлено.
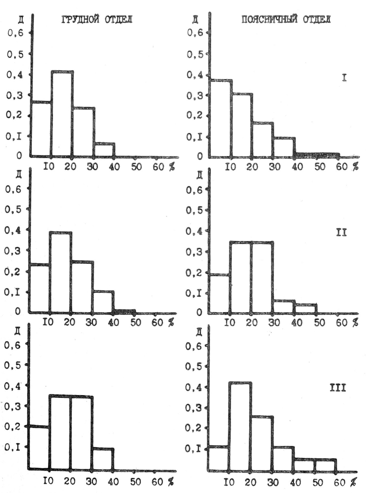
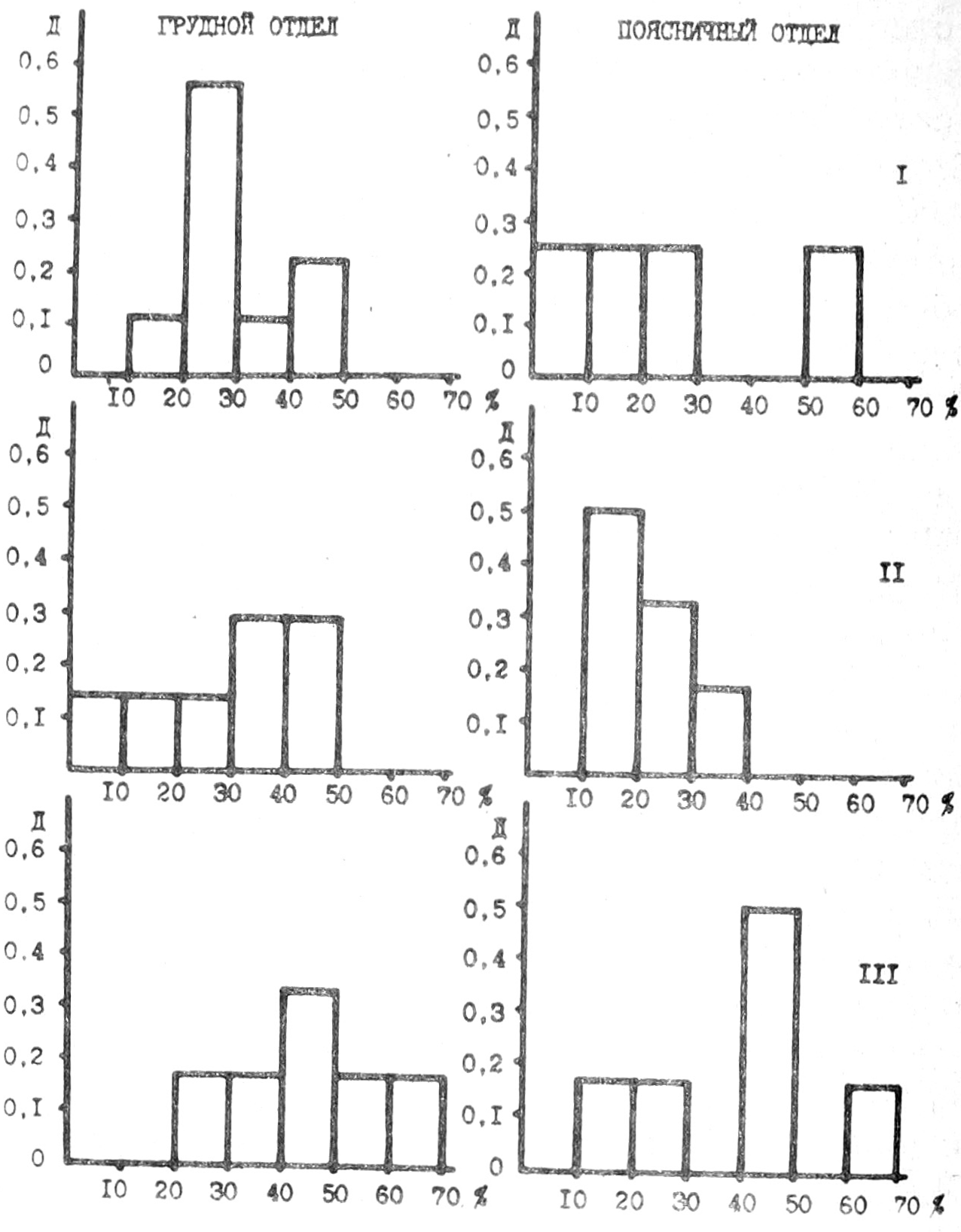
Для большей наглядности приводим гистограммы распределения асимметрии электрической активности мышц, полученные у детей 1-й (рис. 1) и 5-й (рис. 2) групп. Из представленных рисунков видно, что у детей 1-й группы во время всех трех обследований асимметрия электрической активности мышц, особенно в грудном отделе, в подавляющем большинстве случаев находилась в пределах 30%. Доля детей, имевших более высокую степень асимметрии, невелика. Мода распределения фактически не превышала 20%. Противоположную картину можно было наблюдать при рассмотрении гистограмм распределения асимметрии электрической активности паравертебральных мышц у детей 5-й группы. Уже при первичном обследовании обращало на себя внимание отсутствие детей с асимметрией электрической активности в грудном отделе ниже 10%. Значительно выросла доля детей с асимметрией в пределах 20—30%, а также появились дети с асимметрией, достигавшей 50%. В поясничном отделе эти закономерности были выражены в меньшей степени, однако и здесь детей с асимметрией в пределах 20—30 и 50—60% было больше, чем в 1 -й группе. При втором обследовании в 5-й группе значительно уменьшилось число детей с асимметрией электрической активности мышц в грудном отделе до 30% ив то же время увеличилась доля детей с более высокой степенью асимметрии. Детей с незначительной (до 10%) асимметрией в поясничном отделе не выявлено. При третьем обследовании отсутствовали дети с асимметрией электрической активности мышц до 20% (в грудном отделе) и до 10% (в поясничном отделе), зато появились дети с асимметрией более 60%. Мода распределения у детей 5-й группы составляла больше 30%. При третьем обследовании у всех детей 5-й группы был сколиоз начальной степени.
Рис. 1. Гистограммы распределения асимметрии электрической активности паравертебральных мышц в грудном и поясничном отделах у детей 1-й группы при первом (I), втором (II) и третьем (III) обследованиях.
Обозначения: по оси абсцисс — асимметрия электрической активности мышц, выраженная в %; по оси ординат — доля детей с асимметрией в пределах данной размерности (D). , где n — число детей с асимметрией данной размерности; N — общее число детей в группе.
Рис. 2. Гистограммы распределения асимметрии электрической активности паравертебральных мышц в грудном и поясничном отделах у детей 5-й группы при первом (I), втором (II) и третьем (III) обследованиях.
Обозначения те же, что к рис. 1.
Итак, дети с нормальной осанкой в предсколиотическом состоянии имели более высокую асимметрию электрической активности паравертебральных мышц в грудном отделе слева и справа, чем дети с нормальной осанкой, остававшиеся в процессе всего наблюдения практически здоровыми. Мы считаем, что выраженность асимметрии электрической активности указанных мышц у детей в предсколиотическом состоянии может быть обусловлена асимметрией их морфологического строения, описанной в работе А. Л. Латыпова и соавт. [1]. Результаты наших исследований свидетельствуют о том, что в патогенезе сколиоза основную роль играет нарушение функционального баланса паравертебральных мышц. Нарушения выявляются при электромиографическом исследовании этих мышц еще до появления клинических признаков деформации позвоночника. Динамические наблюдения на протяжении 1—2,5 лет показывают, что увеличение функциональной асимметрии мышц сопровождается возникновением клинических признаков сколиоза. Следовательно, профилактические осмотры детей дошкольного и младшего школьного возраста в сочетании с исследованием электрической активности паравертебральных мышц позволяют выявлять детей, предрасположенных к сколиозу.
Обнаружение значительной асимметрии, особенно в грудном отделе, должно насторожить врача, поскольку у таких детей имеется более высокая вероятность развития сколиоза. Подобные дети нуждаются в диспансерном наблюдении и проведении раннего профилактического лечения.
About the authors
I. I. Shaikhutdinov
Lenin Kazan Institute for Advanced Medical Training; Ulyanov-Lenin Kazan University
Author for correspondence.
Email: info@eco-vector.com
Russian Federation, Kazan; Kazan
A. L. Latypov
Lenin Kazan Institute for Advanced Medical Training; Ulyanov-Lenin Kazan University
Email: info@eco-vector.com
Russian Federation, Kazan; Kazan
A. M. Eremeev
Lenin Kazan Institute for Advanced Medical Training; Ulyanov-Lenin Kazan University
Email: info@eco-vector.com
Russian Federation, Kazan; Kazan
References
Supplementary files
