Ферментная диагностика ишемической болезни сердца
- Авторы: Латфуллин И.А.1, Свиридкина Л.П.1, Аглуллина Э.И.1, Иванова С.В.1, Изосимова Л.А.1, Дулеева Т.В.1
-
Учреждения:
- Казанский ордена Трудового Красного Знамени медицинский институт имени С. В. Курашова
- Выпуск: Том 70, № 2 (1989)
- Страницы: 90-95
- Раздел: Статьи
- Статья получена: 29.01.2022
- Статья одобрена: 29.01.2022
- Статья опубликована: 15.04.1989
- URL: https://kazanmedjournal.ru/kazanmedj/article/view/99818
- DOI: https://doi.org/10.17816/kazmj99818
- ID: 99818
Цитировать
Полный текст
Аннотация
Значение ферментной диагностики инфаркта миокарда в настоящее время не вызывает сомнений. На смену определению активности аспарагиновой и аланиновой трансаминаз пришло исследование более чувствительных, так называемых «кардиоспецифических» ферментов: креатинфосфокиназы, лактатдегидрогеназы и их изоферментов. Особой специфичностью к сердечной мышце обладает изофермент ЛДГ1 содержание которого изучают по гидроксибутиратдегидрогеназной активности (α-ГБДГ). Однако закономерности изменений активности данного фермента при различных формах ишемической болезни сердца остаются недостаточно изученными. Содержание фермента γ-глютамилтранспептидазы в сердечной мышце незначительно, однако в литературе встречаются сведения о повышении активности этого фермента в остром периоде инфаркта миокарда. Степень гиперферментемии при остром инфаркте миокарда коррелирует, как правило, с величиной очага ишемического некроза, поэтому значительное увеличение активности ферментов обнаруживается при тех формах заболевания, которые протекают с явной клинической картиной и сопровождаются типичными изменениями на ЭКГ. Между тем клиницисты до сих пор встречаются с трудностями в дифференциальной диагностике таких вариантов ишемической болезни сердца, как различные формы стенокардии, мелкоочаговый некроз миокарда, повторные инфаркты миокарда и кардиалгии различного генеза. Сходство их клинической симптоматики и нечеткие ЭКГ-критерии заставляют вновь возвращаться к анализу изменений ферментной активности при различных формах ишемической болезни сердца.
Ключевые слова
Полный текст
Значение ферментной диагностики инфаркта миокарда в настоящее время не вызывает сомнений [2, 4, 5]. На смену определению активности аспарагиновой и аланиновой трансаминаз пришло исследование более чувствительных, так называемых «кардиоспецифических» ферментов: креатинфосфокиназы, лактатдегидрогеназы и их изоферментов [1, 3, 6]. Особой специфичностью к сердечной мышце обладает изофермент ЛДГ содержание которого изучают по гидроксибутиратдегидрогеназной активности (α-ГБДГ) [7, 8]. Однако закономерности изменений активности данного фермента при различных формах ишемической болезни сердца остаются недостаточно изученными [6]. Содержание фермента γ-глютамилтранспептидазы в сердечной мышце незначительно, однако в литературе встречаются сведения о повышении активности этого фермента в остром периоде инфаркта миокарда [1]. Степень гиперферментемии при остром инфаркте миокарда коррелирует, как правило, с величиной очага ишемического некроза, поэтому значительное увеличение активности ферментов обнаруживается при тех формах заболевания, которые протекают с явной клинической картиной и сопровождаются типичными изменениями на ЭКГ. Между тем клиницисты до сих пор встречаются с трудностями в дифференциальной диагностике таких вариантов ишемической болезни сердца, как различные формы стенокардии, мелкоочаговый некроз миокарда, повторные инфаркты миокарда и кардиалгии различного генеза. Сходство их клинической симптоматики и нечеткие ЭКГ-критерии заставляют вновь возвращаться к анализу изменений ферментной активности при различных формах ишемической болезни сердца.
Нами изучена активность следующих ферментов: креатинфосфокиназы (КФК), лактатдегидрогеназы (ЛДГ), α-гидроксибу- тиратдегидрогеназы (α-ГБДГ), аспарагиновой (ACT) и аланиновой (АЛТ) трансаминаз, γ-глютамилтранспептидазы (γ-ГТ) в сыворотке крови 413 больных с различными формами ишемической болезни сердца, а также у 20 здоровых людей того же возраста методом регистрации кинетических реакций с помощью аппарата ФП-901 («Лабсистемз», Финляндия). Исследования проводили в первые сутки поступления больных в стационар на высоте острого периода заболевания. У 30 больных крупноочаговым инфарктом миокарда активность ферментов определяли в динамике заболевания на 1, 2, 3, 4, 8, 15, 23 и 30-й дни болезни. Обследованные группы больных были примерно одинаковыми по полу, возрасту, частоте и количеству сопутствующих заболеваний и осложнений. У 110 из 413 больных была стенокардия, у 65 — мелкоочаговый инфаркт миокарда, у 236 — крупноочаговый инфаркт миокарда: у 112 — с благоприятным исходом, у 126 — с летальным.
В группе больных стенокардией (мужчин —70, женщин —40) в возрасте до 49 лет было 10 человек, от 50 до 59 лет — 32, от 60 до 69 лет —42, старше 70 лет — 26. Среди больных в возрасте до 50 лет женщин не было; в группе больных от 50 до 59 лет соотношение числа мужчин и женщин составляло 10:2, среди лиц более старшего возраста —10:5. Из анамнеза выяснилось, что 37 (33,6%) больных стенокардией в прошлом перенесли инфаркт миокарда, у 52 (47,3%) была артериальная гипертония, у 13 (11,8) —сахарный диабет. У 22 (20%) больных были зарегистрированы различные формы нарушения ритма, у 11 (10,0%) — нарушения проводимости, у 12 (10,9%) — изменение липидного обмена в виде повышения уровня ß-липопротеидов и холестерина, у 40 (36,4%) — гиперкоагулемия. У 33 (30%) больных были обнаружены клинические признаки хронической сердечной недостаточности.
В группе больных мелкоочаговым инфарктом миокарда (мужчин —36, женщин —29) в возрасте до 49 лет было 5 человек, от 50 до 59 лет —21 (соотношение числа мужчин и женщин — 10:3), от 60 до 69 лет —21, старше 70 лет —18 (соотношение числа мужчин и женщин —10:5. У 43 (66,1%) больных на ЭКГ были зарегистрированы признаки переднего, а у 22 (33,8%) — заднего мелкоочагового инфаркта миокарда. У 24 (36,9%) больных инфаркт миокарда был повторным. У 38 (58,5%) больных в анамнезе была гипертония, у 16 (24,6%) — сахарный диабет.
У И (16,9%) больных течение инфаркта осложнилось стойкими нарушениями ритма и проводимости. Расстройства липидного обмена были отмечены у 10 (15,4%) пациентов, гиперкоагулемия — у 36 (55,4%). Признаки сердечной недостаточности обнаружены у 36 (55,4%) больных.
Было обследовано 238 больных крупноочаговым инфарктом миокарда: у 112 из них заболевание имело благоприятный исход, у 126— летальный. В группе больных с благоприятным исходом заболевания было 80 мужчин и 32 женщины, из них в возрасте до 49 лет было 16 человек, от 50 до 59—36 (соотношение числа мужчин и женщин — 10:1), от 60 до 70 лет — 30, старше 70 лет —30 (соотношение числа мужчин и женщин —10:5). У 16 (14,3%) больных инфаркт был повторным. В зависимости от локализации очага некроза больные распределялись следующим образом: передний инфаркт миокарда — у 54 (48,2%), задний — у 56 (50%), циркулярный — у 2 (1,8%). У 56 (50%) больных инфаркт миокарда был трансмуральным. Кардиогенный шок осложнил течение острого периода заболевания у 10 (9%) больных, нарушение ритма — у 25 (22,3%), атрио-вентрикулярная блокада — у 7 (6,2%), нарушение липидного обмена было отмечено у 14 (12,5%) больных, гиперкоагулемия — у 68 (60,7%), признаки недостаточности кровообращения — у 34 (30,4%). У 5 (4,5%) больных в результате перенесенного инфаркта миокарда развилась аневризма сердца. Анамнестические данные указывали на артериальную гипертонию у 31 (27,7%) больного, на сахарный диабет — у 33 (29,5%).
В группе больных с неблагоприятным исходом заболевания было 60 мужчин и 66 женщин, из них в возрасте до 49 лет было 5 человек, от 50 до 59 лет — 18 (соотношение числа мужчин и женщин — 10:1), от 60 до 69 лет — 42, старше 70 лет —61 (соотношение числа мужчин и женщин — 6:10). В первые сутки заболевания скончались 10 человек, на 2—3-й дни болезни — 17, на 4—6-й — 29, на 7—10-й — 29, на 21—56-й — 23. 38 (30,2%) человек страдали гипертонией, 15 (11,9%) — сахарным диабетом. Течение острого периода осложнилось кардиогенным шоком у 36 (28,6%) больных, тромбоэндокардитом — у 15 (11,9%), тромбозом и эмболией легочных сосудов — у 14 (11%), перикардитом — у 7 (5,6%), нарушением проводимости по ножкам пучка Гиса и атрио-вентрикулярной блокадой — у 29 (23%), расстройством мозгового кровообращения — у 5 (4%). У всех больных были зарегистрированы те или иные нарушения ритма, в том числе и фибрилляция желудочков (у 20). У 36 (28,6%) больных инфаркт миокарда, повлекший летальный исход, был повторным, у 9 (7,1%) носил рецидивирующий характер. Патологоанатомические данные показали, что у 30 больных причиной смерти явился разрыв миокарда с развитием тампонады. У 80 больных некроз локализовался на передней стенке миокарда (63,5%), у 31— на задней стенке сердца (24,6%), у 15 (11,9%) инфаркт миокарда был циркулярным. У 17 (13,5%) больных была обнаружена аневризма сердца, у 7 (5,5%) — тромбоз коронарных сосудов, у 16 (12,7%) — явления отека мозга. Отек легких в финале заболевания развился у всех больных.
Результаты исследований ферментной активности представлены в таблицах.
У больных стенокардией активность ферментов не отличалась от контроля (табл. 1). При мелкоочаговом инфаркте миокарда показатели КФК, ЛДГ и а-ГБДГ были выше, чем в контрольной группе и в группе больных стенокардией, однако в последнем случае достоверно изменялась активность только ЛДГ и α-ГБДГ. У больных крупноочаговым инфарктом миокарда активность всех ферментов была достоверно выше, чем у здоровых, больных мелкоочаговым инфарктом миокарда и стенокардией. Эта закономерность прослеживалась в основном среди мужчин, тогда как у женщин разница показателей ферментов в группах больных стенокардией и мелкоочаговым инфарктом миокарда была недостоверной; при сравнении больных крупноочаговым и мелкоочаговым инфарктом миокарда из-за большого разброса показателей изменения активности КФК были также недостоверными (табл. 2). Наименее закономерно из всех изученных ферментов изменялась активность γ-ГТ.
Таблица 1. Активность ферментов крови у больных с различными формами ишемической болезни сердца (M±m)
Группы обследованных | Показатель достоверности | КФК (АЕ/л) | ЛДГ (АЕ/л) | α-ГБДГ (АЕ/л) | ACT (АЕ/л) | АЛТ (АЕ/л) | γ-ГТ (АЕ/л) |
Здоровые |
| 140±7,5 | 250±12,2 | 140±3,4 | 30±1,8 | 32±1,5 | 40±1,9 |
Больные стенокардией |
| 145±21,6 | 245±12,6 | 141±5,4 | 27±3,2 | 34±2,5 | 42±4,2 |
Р1 | >0,05 | >0,05 | >0,05 | >0,05 | >0,05 | >0,05 | |
мелкоочаговым инфарктом миокарда |
| 226±43,5 | 339±34,6 | 193±19,2 | 32±5,6 | 39±4,7 | 50±8,4 |
Р1 | <0,05 | <0,05 | <0,01 | >0,05 | >0,05 | >0,05 | |
р2 | >0,05 | <0,05 | <0,01 | >0,05 | >0,05 | >0,05 | |
крупноочаговым инфарктом миокарда |
| 459±53,3 | 630±41,1 | 412±30,6 | 90±10,4 | 60±5,4 | 63±9,1 |
Р1 | <0,0001 | <0,0001 | <0,0001 | <0,0001 | <0,0001 | <0,05 | |
Р2 | <0,0001 | <0,0001 | <0,0001 | <0,0001 | <0,0001 | <0,05 | |
Р3 | <0,001 | <0,0001 | <0,0001 | <0,0001 | <0,01 | >0,05 |
Примечание. P1 — показатель достоверности по отношению к данным здоровых, Р2 — по отношению к данным больных стенокардией, Р3 — по отношению к данным больных мелкоочаговым инфарктом миокарда.
Таблица 2. Распределение активности ферментов крови у больных ИБС в зависимости от пола (M±m)
Группы обследованных Больные | Показатель достоверности | КФК (АЕ/л) | ЛДГ (АЕ/л) | α-ГБДГ (АЕ/л) | ACT (АЕ/л) | АЛТ (АЕ/л) | γ-ГТ (АЕ/л) |
стенокардией |
| 159±30,8 | 229±11,5 | 133±7,8 | 26±2,4 | 36±3,1 | 35±2,6 |
мелкоочаговым инфарктом миокарда |
| 248±59,4 | 328±37,1 | 207±30,7 | 29±5,1 | 44±7,7 | 51±7,7 |
Р1 | >0,05 | <0,05 | <0,05 | >0,05 | >0,05 | >0,05 | |
крупноочаговым инфарктом миокарда |
| 471±62,9 | 599±46,7 | 392±34,5 | 89±13,2 | 59±6,5 | 58±11,5 |
Р1 | <0,0001 | <0,0001 | <0,0001 | <0,0001 | <0,003 | >0,05 | |
Р2 | <0,05 | <0,0001 | <0,0001 | <0,0001 | >0,05 | >0,05 | |
Больные |
|
|
|
|
|
|
|
стенокардией |
| 122±27,1 | 271±26,9 | 153±6,1 | 29±7,6 | 31±4,4 | 55±11,5 |
мелкоочаговым инфарктом миокарда | Р1 | 198±64,6 | 352±63,5 | 171±13,8 | 35±10,4 | 34±5,1 | 49±17,7 |
>0,05 | >0,05 | >0,05 | >0,05 | >0,05 | >0,05 | ||
крупноочаговым инфарктом миокарда |
| 428±101 | 714±83,7 | 457±61,9 | 94±16,7 | 63±9,7 | 73±14,7 |
Р1 | <0,01 | <0,0001 | <0,0001 | <0,001 | <0,01 | >0,05 | |
Р2 | >0,05 | <0,001 | <0,0001 | <0,01 | <0,01 | >0,05 |
Примечание. P1 — показатель достоверности изменений по отношению к данным больных стенокардией, Р2 — по отношению к данным больных мелкоочаговым инфарктом миокарда.
Интересным оказался анализ активности ферментов в различных группах больных в зависимости от возраста. На примере больных стенокардией видно, что возрастным колебаниям наиболее подвержена активность КФК и γ-ГТ (табл. 3). Она была максимальной у лиц в возрасте от 60 до 69 лет. Активность α-ГБДГ была наибольшей у больных старше 70 лет. Показатели ЛДГ и ACT не зависели от возраста. В диагностике мелкоочагового инфаркта миокарда в молодом возрасте (до 49 лет) наибольшее значение имела КФК (табл. 4). В возрастной группе от 50 до 59 лет достоверно изменялась активность ЛДГ и α-ГБДГ. В возрасте старше 70 лет показатели активности ферментов у больных стенокардией и мелкоочаговым инфарктом миокарда достоверно не различались. Сравнение ферментных показателей у больных мелкоочаговым и крупноочаговым инфарктом миокарда в различных возрастных группах показало, что активность ЛДГ, α-ГБДГ и КФК зависела от размеров очага некроза только в возрасте до 59 лет (табл. 5). В более старшем возрасте наиболее закономерно менялась активность ACT и АЛТ.
Таблица 3. Распределение активности ферментов крови у больных стенокардией в зависимости от возраста (M±m)
Возраст обследованных, лет | Показатель достоверности | КФК (АЕ/л) | ЛДГ (АЕ/л) | α-ГБДГ (АЕ/л) | ACT (АЕ/л) | АЛТ (АЕ/л) | γ-ГT (АЕ/л) |
40—49 (1-я группа) |
| 54±15,2 | 232±21,4 | 143±18,8 | 29±4,7 | 23±4,7 | 27±2,0 |
50—59 (2-я) |
| 158±50,0 | 218±13,3 | 124±9,2 | 24±3,7 | 41±4,8 | 33±3,8 |
Р1 | <0,05 | >0,05 | >0,05 | >0,05 | <0,05 | >0,05 | |
60—69 (3-я) |
| 160±32,4 | 269±29,9 | 146±9,1 | 34±8,1 | 33±4,5 | 60±10,4 |
Р1 | <0,01 | >0,05 | >0,05 | >0,05 | >0,05 | <0,003 | |
Р2 | >0,05 | >0,05 | >0,05 | >0,05 | >0,05 | <0,05 | |
70—80 (4-я) |
| 143±44,6 | 249±18,9 | 157±10,4 | 21±2,4 | 29±3,7 | 33±3,8 |
Р1 | >0,05 | >0,05 | >0,05 | >0,05 | >0,05 | >0,05 | |
Р2 | >0,05 | >0,05 | <0,05 | >0,05 | <0,05 | >0,05 | |
Р3 | >0,05 | >0,05 | >0,05 | >0,05 | >0,05 | <0,05 |
Примечание. Р1 —показатель достоверности разницы показателей по отношению к данным 1-й группы больных, Р2 — по отношению к данным 2-й группы, Р3 — по отношению к данным 3-й группы.
Таблица 4. Распределение активности ферментов крови у больных мелкоочаговым инфарктом миокарда в зависимости от возраста (M±m)
Возраст обследованных, лет | Показатель достоверности | КФК (АЕ/л) | ЛДГ (АЕ/л) | α-ГБДГ (АЕ/л) | ACT (АЕ/л) | АЛТ (АЕ/л) | γ-ГТ (АЕ/л) |
40—49 (1-я группа) |
| 183±36,7 | 222±27,1 | 131±13,4 | 22±3,5 | 26±17 | 43±11,3 |
Р4 | <0,01 | >0,05 | >0,05 | >0,05 | >0,05 | >0,05 | |
50—59 (2-я) |
| 313±77,9 | 357±63,7 | 243±56,3 | 36±6,9 | 45±29 | 65±24,8 |
P1 | >0,05 | >0,05 | >0,05 | >0,05 | >0,05 | >0,05 | |
Р4 | >0,05 | <0,05 | <0,05 | >0,05 | >0,05 | >0,05 | |
60—69 (3-я) |
| 227±109,9 | 403±84,3 | 181±24,4 | 38±15,8 | 52±11,2 | 46±11,6 |
Р1 | >0,05 | >0,05 | >0,05 | >0,05 | >0,05 | >0,05 | |
Р2 | >0,05 | >0,05 | >0,05 | >0,05 | >0,05 | >0,05 | |
Р4 | >0,05 | >0,05 | >0,05 | >0,05 | >0,05 | >0,05 | |
70—80 (4-я) |
| 149±25,8 | 281±26,1 | 172±14,5 | 22±4,0 | 21±3,1 | 41±9,7 |
P1 | >0,05 | >0,05 | <0,05 | >0,05 | >0,05 | >0,05 | |
Р2 | <0,05 | >0,05 | >0,05 | >0,05 | <0,005 | >0,05 | |
Р3 | >0,05 | >0,05 | >0,05 | >0,05 | <0,01 | >0,05 | |
Р4 | >0,05 | >0,05 | >0,05 | >0,05 | >0,05 | >0,05 |
Примечание. P1 — показатель достоверности изменений по отношению к данным 1-й группы, Р2 — по отношению к данным 2-й группы, Р3 — по отношению к данным 3-й группы, Р4 — по отношению к данным группы больных стенокардией.
Таблица 5. Распределение активности ферментов у больных крупноочаговым инфарктом миокарда в зависимости от возраста (M±m)
Возраст обследованных, лет | Показатель достоверности | КФК (АЕ/л) | ЛДГ (АЕ/л) | α-ГБДГ (АЕ/л) | ACT (АЕ/л) | АЛТ (АЕ/л) | γ-ГТ (АЕ/л) |
40—49 (1-я группа) |
| 488±116,3 | 370±52,9 | 414±90,7 | 45±17,5 | 49±8,2 | 58 ±8,5 |
Р4 | <0,002 | <0,03 | <0,01 | >0,05 | <0,02 | <0,01 | |
Р5 | <0,03 | <0,03 | <0,01 | >0,05 | >0,05 | >0,05 | |
50—59 (2-я) |
| 608±119,3 | 720±85,9 | 402±51,9 | 127±26,3 | 62±5,4 | 82±24,4 |
Р1 | >0,05 | <0,001 | >0,05 | <0,01 | >0,05 | >0,05 | |
Р4 | <0,001 | <0,0001 | <0,0001 | <0,001 | <0,01 | <0,05 | |
Р5 | <0,05 | <0,001 | <0,05 | <0,001 | >0,05 | >0,05 | |
60—69 (3-я) |
| 343±87,3 | 765±86,3 | 483±71,7 | 101±20,0 | 75±15,5 | 48±13,6 |
Р1 | >0,05 | <0,0001 | >0,05 | <0,05 | >0,05 | >0,05 | |
Р2 | >0,05 | >0,05 | >0,05 | >0,05 | >0,05 | >0,05 | |
Р4 | <0,05 | <0,0001 | <0,0001 | <0,003 | <0,01 | >0,05 | |
Р5 | >0,05 | <0,001 | <0,0001 | <0,05 | >0,05 | >0,05 | |
70—80 (4-я) |
| 361±74,2 | 549±53,1 | 353±42,1 | 69±11,3 | 49±7,5 | 60±13,0 |
Р1 | >0,05 | <0,05 | >0,05 | >0,05 | >0,05 | >0,05 | |
Р2 | >0,05 | >0,05 | >0,05 | <0,05 | >0,05 | >0,05 | |
Р3 | >0,05 | <0,05 | >0,05 | >0,05 | >0,05 | >0,05 | |
Р4 | <0,05 | <0,0001 | <0,0001 | <0,0001 | <0,05 | <0,05 | |
Р5 | <0,01 | <0,0001 | <0,0001 | <0,0001 | <0,001 | >0,05 |
Примечание. Р1 — показатель достоверности изменений по отношению к данным 1-й группы, Р2 — по отношению к данным 2-й группы, Р3 — по отношению к данным 3-й группы, Р4 — по отношению к данным больных стенокардией, Р5 — по отношению к данным больных мелкоочаговым инфарктом миокарда.
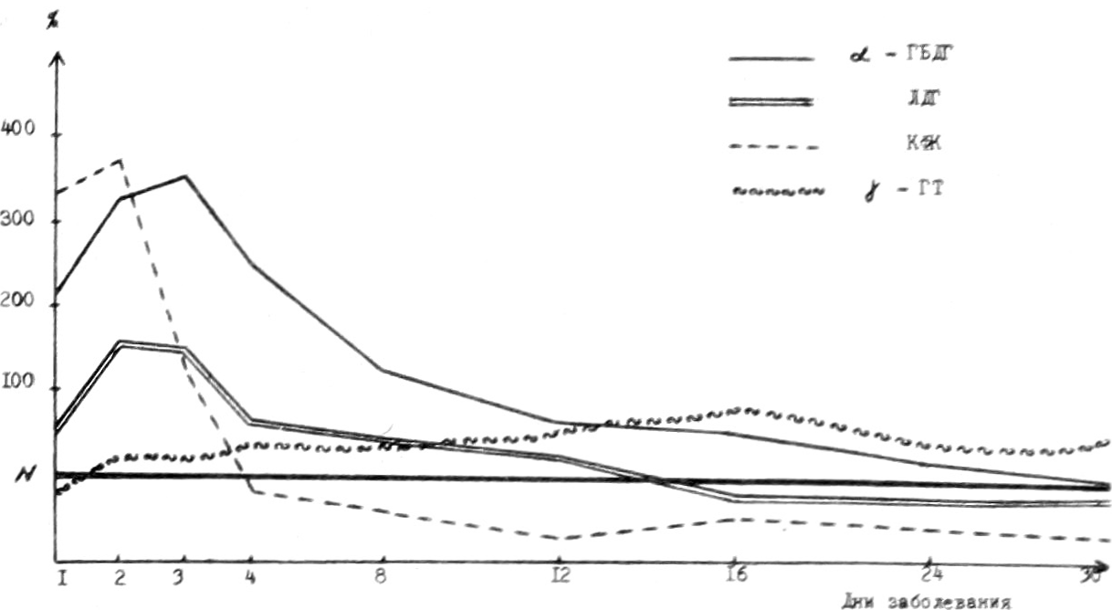
Чтобы сравнить информативность различных ферментов при ишемической болезни сердца, мы представили частоту повышения их активности в табл. 6. Наиболее чувствительными ферментами, изменяющимися прямо пропорционально размерам очага некроза, являлась α-ГБДГ, в меньшей мере — ЛДГ и КФК. Активность фермента α-ГБДГ значительно повышалась с первого дня заболевания, продолжала нарастать до 4-го дня, далее постепенно снижалась и достигала контрольной величины между 16 и 24-м днями болезни (см. рис.). Аналогично изменялась и ЛДГ, однако подъем ее активности был менее интенсивным, а нормализация активности происходила раньше — между 12 и 16-м днями заболевания. Повышение активности КФК было наиболее значительным в первые дни болезни, но уже к 3-му дню она резко снижалась и на 4-е сутки была нормальной. Активность АЛТ и ACT изменялась незначительно и недлительно. Активность γ-ГТ имела тенденцию к повышению на 2-й неделе заболевания и достигала максимума на 16-й день болезни. Подобная динамика этого фермента была отмечена и другими исследователями [1]. Высказано предположение о соответствии уровня увеличения γ-ГТ степени активности репаративных процессов в миокарде. В наших исследованиях в остром периоде активность γ-ГТ наиболее значительно повышалась у больных с тяжелым осложненным течением инфаркта миокарда. Поскольку содержание этого фермента в миокарде незначительно, источником гиперферментемии являлись, вероятно, другие органы и ткани, прежде всего печень и почки, изменившие свой метаболизм в условиях гипоксии.
Рис. 1. Активность ферментов крови у больных крупноочаговым инфарктом миокарда в динамике заболевания (в % по отношению к нормальным показателям).
Таблица. 6. Частота повышения активности ферментов у больных с различными формами ишемической болезни сердца (в %)
Формы ишемической болезни сердца | КФК | ЛДГ | α-ГБДГ | ACT | АЛТ | γ-ГТ |
Стенокардия | 20,2 | 11,5 | 35,8 | 19,2 | 29,8 | 26,0 |
Мелкоочаговый инфаркт миокарда | 34,4 | 21,3 | 58,0 | 28,0 | 38,0 | 33,3 |
Крупноочаговый инфаркт миокарда с благоприятным исходом | 55,7 | 76,3 | 92,7 | 45,3 | 44,9 | 44,1 |
с летальным исходом | 58,8 | 77,5 | 82,0 | 42,4 | 42,8 | 56,7 |
При сравнении показателей активности ферментов у больных крупноочаговым инфарктом миокарда с благоприятным течением и летальным исходом достоверных различий мы не получили. У мужчин, умерших от инфаркта, показатели α-ГБДГ были значительно более высокими, чем у выписавшихся больных. Однако при тщательном анализе историй болезни умерших от инфаркта миокарда обращает на себя внимание тот факт, что активность ферментов в первые дни заболевания либо была повышена значительно, либо почти не отличалась от нормы. Вероятно, оба варианта этих изменений при наличии явной клинической и электрокардиографической картины заболевания следует считать прогностически неблагоприятными.
Таким образом, результаты наших исследований показали, что наиболее информативным показателем некротических изменений в миокарде является повышение активности α-ГБДГ. Длительность изменений активности этого фермента позволяет использовать его для диагностики инфаркта миокарда не только в острой, но и в подострой стадиях заболевания. ЛДГ и КФК также дают определенную информацию для диагностики различных форм ишемической болезни сердца, однако их изменения являются менее специфичными. Диагностическая ценность КФК снижается и из-за кратковременности повышения ее активности. Роль ферментной диагностики ишемической болезни сердца значительно снижается у женщин и, как правило, у лиц старше 70 лет. Клинические наблюдения показали, что в ряде случаев инфаркта миокарда изолированно повышается активность какого-либо одного фермента. Несмотря на высокую чувствительность α-ГБДГ, у некоторых больных отмечалось увеличение активности других ферментов (ЛДГ, КФК) при нормальном уровне α-ГБДГ. Из этого следует, что ферментная диагностика различных форм ишемической болезни сердца не является абсолютной и зависит от пола, возраста больных, тяжести течения и наличия осложнений заболевания. В неясных случаях наиболее целесообразно комплексное исследование всех «кардиоспецифических» ферментов что, несомненно, поможет в диагностике различных форм ишемической болезни сердца.
Об авторах
И. А. Латфуллин
Казанский ордена Трудового Красного Знамени медицинский институт имени С. В. Курашова
Автор, ответственный за переписку.
Email: info@eco-vector.com
Россия, Казань
Л. П. Свиридкина
Казанский ордена Трудового Красного Знамени медицинский институт имени С. В. Курашова
Email: info@eco-vector.com
Россия, Казань
Э. И. Аглуллина
Казанский ордена Трудового Красного Знамени медицинский институт имени С. В. Курашова
Email: info@eco-vector.com
Россия, Казань
С. В. Иванова
Казанский ордена Трудового Красного Знамени медицинский институт имени С. В. Курашова
Email: info@eco-vector.com
Россия, Казань
Л. А. Изосимова
Казанский ордена Трудового Красного Знамени медицинский институт имени С. В. Курашова
Email: info@eco-vector.com
Россия, Казань
Т. В. Дулеева
Казанский ордена Трудового Красного Знамени медицинский институт имени С. В. Курашова
Email: info@eco-vector.com
Россия, Казань
Список литературы
- Вилькенсон Д.//Принципы и методы диагностической энзимологии.— М., Медицина, 1981.
- Виноградов А. В.//Дифференциальный диагноз внутренних болезней.— М., Медицина, 1987.
- Малахов В. Н.//Количественный анализ изоферментных систем кинетическими методами и их использование в диагностике инфаркта миокарда.— Автореф. докт. дисс.— М., 1985.
- Руда М. Я., Зыско А. П.//Инфаркт миокарда.— М., Медицина, 1981.
- Руководство по кардиологии//Под ред. Е. И. Чазова.— М., Медицина, 1982.— Т. 2.
- Титов В. И., Амелюшкина В. А., Коткина Т. И., Шапошников А. В.//Лабор. дело.— 1988.— № 11.— С. 31—41.
- Adan J., Bernstein L. H., Babb J.//Clin. Chem.— 1986.— Vol. 32.— P. 624—628.
- Willems G. M., van der Veen F. H., Huysmans H. A. et al.//Amer.Heart. J.— 1985.—Vol. 109.— P. 1243—1252.
Дополнительные файлы



