Indirect methods for determining the pressure in the pulmonary artery in lung diseases
- Authors: Vizel A.A., Perley V.E.
- Issue: Vol 66, No 1 (1985)
- Pages: 51-53
- Section: Reviews
- Submitted: 10.02.2021
- Accepted: 10.02.2021
- Published: 15.02.1985
- URL: https://kazanmedjournal.ru/kazanmedj/article/view/60548
- DOI: https://doi.org/10.17816/kazmj60548
- ID: 60548
Cite item
Full Text
Abstract
An increase in pressure in the pulmonary artery in patients with chronic nonspecific pulmonary diseases (COPD) is a leading factor in impaired pulmonary hemodynamics and in the development of chronic pulmonary heart disease [7, 13].
Keywords
Full Text
Повышение давления в легочной артерии у больных хроническими неспецифическими заболеваниями легких (ХНЗЛ) является ведущим фактором в нарушении легочной гемодинамики и в развитии хронического легочного сердца [7, 13]. Поэтому состояние малого круга кровообращения, в частности определение давления в легочной артерии, привлекает внимание все большего числа клиницистов. Существуют прямые и косвенные методы диагностики легочной гипертензии. Прямое измерение давления с помощью электроманометра во время катетеризации правых отделов сердца считается наиболее точным [27, 31в]. Однако инвазивные методы требуют специальной дорогостоящей аппаратуры и высококвалифицированного персонала. Кроме того, при правосторонней катетеризации возможны такие осложнения, как аритмия, фибрилляция и даже асистолия сердца [20]. Поэтому чаще применяются йеинвазивные методы исследования легочной циркуляции: они доступны и безопасны, позволяют проводить многократные динамические наблюдения.
Одним из самых распространенных методов в функциональной диагностике является ЭКГ, с использованием которой разработано большое количество критериев и расчетных коэффициентов. К ним относятся хорошо известные- ЭКГ-признаки легочного сердца, гипертрофии правого желудочка [31 а] и критерии легочной гипертензии .[23]. Однако эти параметры качественные. Их сопоставление с данными прямого измерения показало, что они достоверны при систолическом давлении в легочной артерии (СДЛА) более 6,7 кПа [5], в то время как СДЛА при ХНЗЛ редко превышает 6,0 кПа [21, 30]. По мнению некоторых авторов, судить о СДЛА можно по векторкардиограмме при пространственном анализе электрического поля сердца в течение всего сердечного цикла [7]. Н. Г. Зернов и соавт. (1977) выделили 4 типа векторкардиограмм соответственно степеням легочной гипертензии. Другой распространенный метод — фонокардиография — имеет в оценке СДЛА относительное значение [2].
Изменения СДЛА определенным образом сказываются на рентгенограмме легкого. Наиболее доступна для изучения правая ветвь легочной артерии в корне легкого, ширина которой у здоровых людей не превышает 15 мм [11]. О наличии легочной гипертензии свидетельствуют значительное расширение центральных прикорневых сосудов при обеднении периферического рисунка, а также расширение правой нисходящей ветви легочной артерии более чем 15 мм [10, 28]. Разновидностью рентгенологического метода является электрокимография (ЭКИ), на основании которой предложены достоверные и относительные признаки легочной гипертензии [18]. Однако распространенность этого метода оценки СДЛА в настоящее время ограничена. Применение ЭКИ, связанной с .дополнительным рентгеновским облучением, нельзя считать целесообразным, поскольку есть абсолютно безопасные и не менее информативные методы.
Важной вехой в развитии косвенной диагностики легочной гипертензии были работы Бурстина [25 а, Ь). Его метод основывался на том, что продолжительность фазы изометрического расслабления правого желудочка сердца (ФИР) удлиняется при повышении давления в легочной артерии, находясь в зависимости от давления в правых камерах сердца, в легочной артерии и частоты сердечных сокращений (ЧСС). При легочной гипертензии закрытие полулунных клапанов легочной артерии происходит тем раньше, чем выше СДЛА, а трехстворчатый клапан открывается тем позже, чем выше давление в правом желудочке. Исходя из этого, Бурстин предложил номограмму для определения СДЛА с точностью до 0,66 кПа по известным значениям продолжительности ФИР и ЧСС. В своих работах автор определял ФИР с помощью яремной флебограммы и кинетокардиограммы правого желудочка (КиКГ). Дискуссия о целесообразности применения этих двух методов продолжается. Многие авторы указывают на высокую точность расчета при использовании флебограммы [16]. В то же время имеются данные, указывающие на большую погрешность в определении ФИР по флебограмме и получение завышенных величин СДЛА [4, 21]. Вполне приемлемым считается определение продолжительности ФИР по кинето- кардиограмме [2, 19].
В последнее время стал широко применяться метод ультразвуковой локации камер и клапанов сердца — допплеркардиография (ДКГ), которая самостоятельно и в сочетании с ФКГ и ЭКГ также позволяет установить длительность ФИР и ЧСС [3].
Считается, что ДКГ даже более точна, чем кинетокардиограмма [26]. Регистрация ее осуществима с помощью как зарубежных допплер-эхокардиографов, так и отечественного эхотахокардиографа «Ритм» [1, 4]. Затрудняет получение качественной ДКГ только выраженная эмфизема легких [8]. *
Зная длительность ФИР и ЧСС, СДЛА можно узнать по номограммам Бурстина (1967) и А. В. Марусенко (1977). Л. В. Весельников (1973) предлагает расчет по формуле:
где К — коэффициент, определяемый по таблице, составленной автором, 0,1333 — коэффициент перевода мм. рт. ст. в кПа.
По мнению Г. В. Гусарова (1982), при ХНЗЛ можно пользоваться формулой:
СДЛА= [20,3+289-ФИР—11,2 (R—R)] * 0,1333,
где R—R — продолжительность сердечного цикла в секундах.
При первичной легочной гипертензии, где имеется обратная зависимость ФИР от СДЛА, он рекомендует формулу:
СДЛА = [125—1510-ФИР+155 (R—R)] * 0,1333.
Ю. И. Монастырский и Р. И. Микунис (1981) советуют рассчитывать СДЛА, исходя из системного систолического давления (СД):
СДЛА= (0,35-СД—21,8) * 0,1333
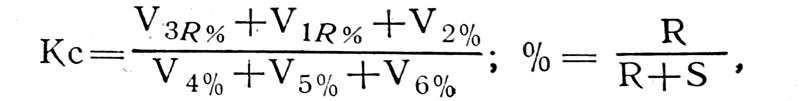
С. А. Душанин (1969) для определения СДЛА предлагает измерять систолическое давление по Короткову и регистрировать ЭКГ в обычных грудных отведениях и отведении V3R. Расчет осуществляется по формуле:
где ФП — коэффициент, равный 1,56 [15];
где R и S — величины зубцов ЭКГ.
Расхождение величин СДЛА, установленных методом С. А. Душанина (1969), с данными СДЛА при катетеризации является весьма небольшим и составляет всего ±0,67 кПа [22], а величины давления в легочной артерии, полученные этим методом у больных ХНЗЛ, не превышают 4,9 кПа [15, 16].
Наряду с определением СДЛА предложены способы расчета диастолического давления в легочной артерии (ДДЛА). Л. Ф. Коноплева (1971) приводит формулу:
ДДЛА= (СДЛА-0,6—10)-0,1333.
Погрешность метода составляет ±1,3 кПа, что соизмеримо с величинами ДДЛА. Использование этой формулы другими авторами приводило к значениям порядка 0,5—0,7 кПа [1, 16], а эти величины соответствуют давлению в правом предсердии и примерно в 2 раза меньше реальных величин ДДЛА. В настоящее время разрабатываются более совершенные методы косвенного измерения ДДЛА по фазе изометрического сокращения правого желудочка сердца [24, 29].
Таким образом, функциональная диагностика располагает большим арсеналом косвенных методов для распознавания легочной гипертензии. Их диагностические возможности расширяются при динамическом наблюдении, проведении проб с дозированной физической нагрузкой и фармакологическими тестами. Однако многие методы требуют дальнейшего совершенствования. Безусловно перспективной является разработка новых косвенных способов оценки СДЛА с применением таких современных гемодинамических исследований, как эхокардиография и радиокардиография.
About the authors
A. A. Vizel
Author for correspondence.
Email: info@eco-vector.com
Russian Federation
V. E. Perley
Email: info@eco-vector.com
Russian Federation
References
Supplementary files






