Опыт применения аминокислотных смесей в сочетании с ретаболилом у больных инфарктом миокарда
- Авторы: Лещинский Л.А., Второв А.Е.
- Выпуск: Том 66, № 1 (1985)
- Страницы: 28-32
- Раздел: Теоретическая и клиническая медицина
- Статья получена: 09.02.2021
- Статья одобрена: 09.02.2021
- Статья опубликована: 15.02.1985
- URL: https://kazanmedjournal.ru/kazanmedj/article/view/60423
- DOI: https://doi.org/10.17816/kazmj60423
- ID: 60423
Цитировать
Полный текст
Аннотация
Одним из наиболее перспективных и интенсивно разрабатываемых лечебных воздействий при инфаркте миокарда (ИМ) являются мероприятия, направленные на ограничение зоны поражения сердечной мышцы [8а, б].
Ключевые слова
Полный текст
Одним из наиболее перспективных и интенсивно разрабатываемых лечебных воздействий при инфаркте миокарда (ИМ) являются мероприятия, направленные на ограничение зоны поражения сердечной мышцы [8а, б]. В комплекс традиционной терапии ИМ вошел ряд средств, оказывающих именно такое влияние: поляризующая смесь и другие препараты калия и магния [10], бета-адрепоблокаторы [3, И], вводимые парентерально нитраты [9], ингибиторы калликреина и других протеаз [51, антикоагулянты и фибринолитические средства [13], маннитол [4, 14].
Особое место в этом ряду принадлежит терапевтическим методам, воздействующим на так называемую периинфарктную зону для усиления в ней репаративных процессов.
Ранняя коррекцйя возникающих метаболических нарушений, в частности стимуляция анаболизма белков и подавление их катаболизма, по данным исследований, проведенных в нашей клинике [1, 2], оказалась эффективной. В ряде источников [12, 14, 15] на основании экспериментальных данных подчеркивается, что такая тактика может явиться одним из важнейших направлений интенсивного лечения.
С использованием меченых аминокислот показано их проникновение из перфузата в околоинфарктную зону [6, 7]. Применение аминокислотных препаратов при ИМ основано также на их активном антитоксическом действии. Образующиеся в процессе катаболизма белка азотистые шлаки (аммиак) связываются с помощью глутаминовой и аспарагиновой кислот, содержащихся в достаточном количестве во вводимых парентерально лечебных аминокислотных препаратах. Для надежного и, главное, длительного анаболического и антикатаболического воздействия аминокислотных препаратов в лечебный комплекс были включены анаболические стероиды.
Целью настоящей работы являлось изучение клинического течения ИМ и, в особенности, динамики показателей центральной гемоциркуляции и толерантности больных к физическим нагрузкам под действием комплекса из аминокислотных препаратов и анаболических стероидов.
Под наблюдением находилось 128 больных ИМ. 92 человека (мужчин—76, женщин—16, возраст—от 36 до 65 лет), наряду с традиционной терапией в остром и подостром периоде заболевания, получали комплекс средств, стимулирующих биосинтез белка. В контрольную группу вошли 36 больных (мужчин—32, женщин—4, возраст—от 44 до 65 лет), которым была проведена традиционная терапия. У больных основной группы преобладал трансмуральный (38) и крупноочаговый (47) характер поражения миокарда, а также ИМ с поражением двух и более стенок левого желудочка (52). Почти у всех пациентов при поступлении отмечались явления сердечной недостаточности различной выраженности. У больных контрольной группы был также преимущественно крупноочаговый и трансмуральный характер поражения (29). Явления сердечной недостаточности отсутствовали у 8 человек. Средний прогностический индекс по Норрис и др. составил 7,2 для основной и 5,4 для контрольной групп (более благоприятный исход заболевания).
Наблюдавшиеся больные поступали в специализированное инфарктное отделение клинического кардиологического диспансера в первые 12 ч от начала заболевания. Диагноз несомненного ИМ у всех больных ставился на основании клинической картины, изменений ЭКГ и энзимологических данных. 72 больным основной группы А, наряду с традиционной терапией, в остром периоде инфаркта миокарда назначался раствор аминокислот—альвезин-новый (ГДР) или обогащенный белковый гидролизат аминон (Финляндия). У 20 человек группы Б эти препараты были применены в подострой стадии заболевания с 18—22 по 23—27-е сутки заболевания.
Альвезин-новый содержит 9 незаменимых и 4 заменимые аминокислоты (в том числе 1,2 г/л аспарагиновой и 3 г/л глутаминовой кислоты) при общем количестве 40 г/л белка, 100 г/л сорбитола, 35 ммоль Na+, 35 ммоль и 5 ммоль Mg2+. Аминон—обогащенный белковый гидролизат имеет в своем составе 18 заменимых и незаменимых аминокислот (до 75% состава), пептиды (до 25%) при общей концентрации 50 г/л белка, 70—80 ммоль Na+ и 2—3 ммоль К+. Больным основной группы А препараты назначались непосредственно с момента их поступления в стационар, инфузионно медленно в течение 4—8 ч со скоростью 25—30 капель в 1 мин в дозе 300—500 мл на одно введение; затем такое же количество препарата вводили ежедневно в течение 5 сут пребывания больного в стационаре. Параллельно в комплекс терапии был включен анаболический стероид ретаболил в дозе 50 мг инъекционно 1 раз в 3 сут (курс— 6—8 инъекций).
Больные основной группы Б, кроме курса лечения в остром периоде по схеме А, получали дополнительно аминокислотные препараты по 250 мл в течение 6 дней внутривенно медленно и 2 инъекции ретаболила (50 мг) в подостром периоде заболевания (20—25-е сутки) с интервалом в 3 дня.
У больных контрольной группы в те же сроки, что и в основной группе А, осуществляли инфузионное введение 10—15 тыс. ЕД гепарина в 500 мл физиологического раствора. . . *
У 20 больных основной группы Б после курса аминокислотных препаратов в подостром периоде проводили раннюю велоэргометрическую пробу — на 23 — 27-е сутки и непосредственно перед выпиской из стационара с регистрацией ЭКГ.
У 48 больных основной и 29 — контрольной групп на этапах лечения выполняли интегральную реографию.
У больных основной группы наблюдалась меньшая по сравнению с контролем длительность болевого синдрома. Полное исчезновение болей или их значительное ослабление уже в первые 24 ч лечения в основной и контрольной группах отмечалось соответственно в 90% и 75% случаев. На 2-е сутки заболевания начальный болевой приступ сохранялся в основной группе у 2 человек, возобновлялся однократно (при продолжительности более 5 мин)—у 11, неоднократно повторялся на 2-е сутки заболевания — у 9. В контрольной группе ангинозный синдром на 2-е сутки имел место у 4, рецидивы боли (неоднократные — более 2 раз и длительные—более 5 мин) возникали значительно чаще—у 12 человек. Количество инъекционных наркотических анальгетиков, введенных в течение первых 2 сут заболевания одному человеку, оказалось в основной группе в среднем на 0,43 мл меньше, чем в контрольной.
Выявлено также некоторое противоаритмическое действие указанных препаратов, особенно альвезина, содержащего большое количество ионов К+ и MgHt Так, за время первой инфузии аминокислотных средств произошла нормализация ритма (экстрасистолии) у 50 больных основной группы и только у 15 — в контроле, а в течение всего курса специальной аминокислотной терапии—у 80 пациентов основной группы и у 23 — в контроле.
Аминокислотные препараты оказались эффективными и при сердечной недостаточности: они снижали степень проявления недостаточности кровообращения, значительно повышали суточный диурез (по группе в среднем на 0,67 л). В 60% случаев уже после первой инфузии аминокислот регистрировался подъем как систолического, так и диастолического АД на 1,9 — 2,6кПа. При внутривенном введении равного количества физиологического раствора и гепарина изменений АД не выявлено.
В последующие дни применения аминокислот (2— 5-е ‘сутки), а также в отдаленном периоде (5—30-е сутки) у 8 больных возник рецидив заболевания, у 6—повторный отек легких. Нарушения ритма констатированы у 37 человек на 2—5-е сутки, у 11—на 5—30-е. Формирование аневризмы сердца выявлено у 14 больных. Летальный исход имел место у 8 больных. В контрольной группе больных рецидив заболевания наблюдался у 4, повторный отек легких—у 5.
Аритмия зарегистрирована у 18 человек на 2—5-е сутки заболевания и у 12—на 5—ЗО-е. Летальный исход отмечен у 5.
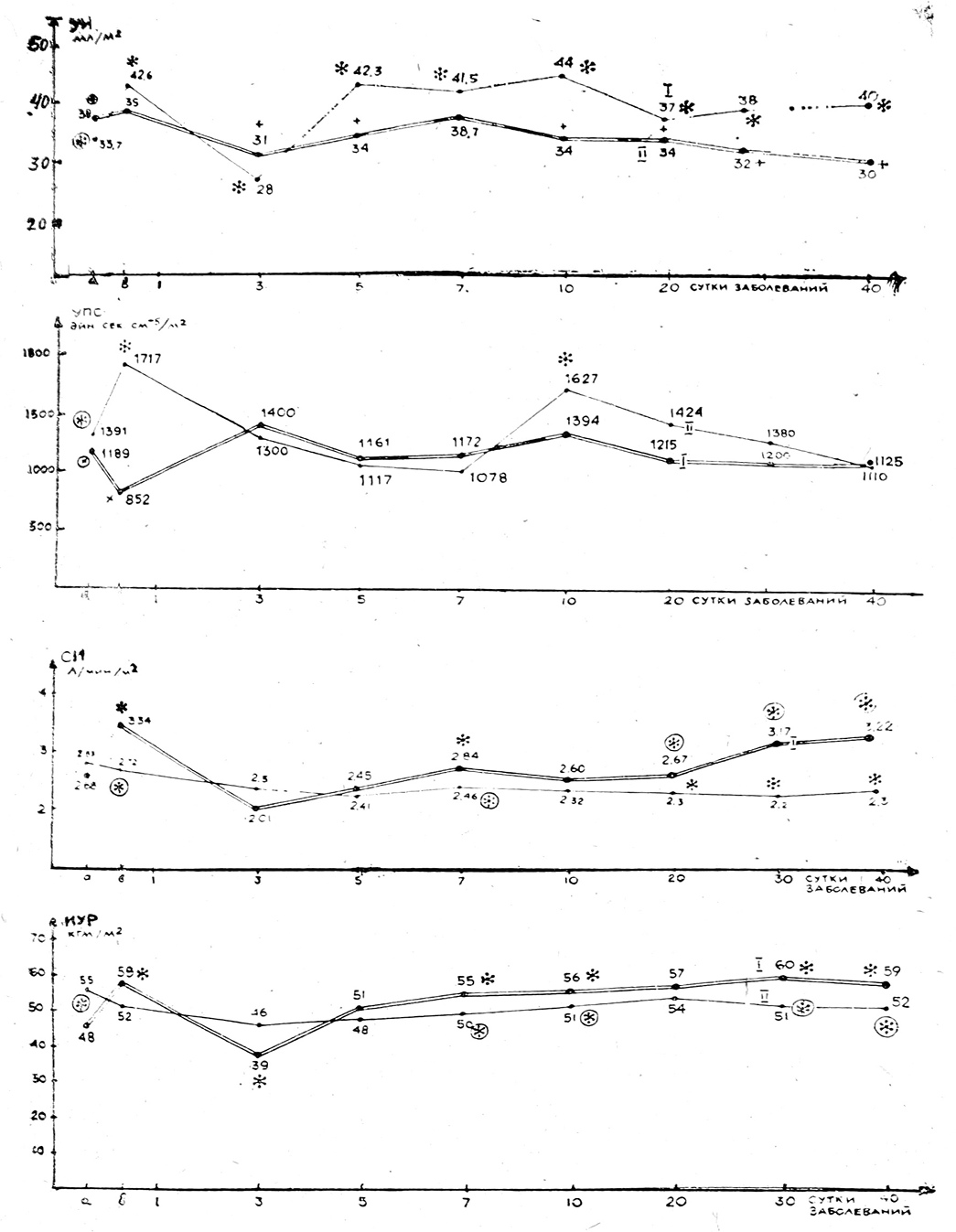
Показатели центральной гемодинамики у больных ИМ. в основной и контрольной группах. Условные обозначения: одна линия — основная группа, двойная — контрольная, УИ — ударный индекс, УПС — удельное периферическое сопротивление, СИ — систолический индекс, ИУР — индекс удельной работы сердца. Звездочками отмечены статистически достоверные различия (Р<0,05).
Показатели центральной гемодинамики у больных основной группы А на протяжении всего стационарного лечения имели следующую динамику: достоверное повышение ударного и сердечного индексов, индекса удельной работы сердца на фоне первого введения аминокислотных препаратов (рис.).
На 3-и сутки заболевания эти показатели снижались, однако через 5—7 сут вновь увеличивались с максимальным подъемом на 7-е сутки и с дальнейшей стабилизацией вплоть до 30 сут наблюдения. Удельное периферическое сопротивление снижалось на фоне применения аминокислотных препаратов в 1-й день заболевания, значительно повышалось к 5-м суткам, затем возвращалось к исходным показателям на протяжении всего 30-дневного наблюдения. В контрольной группе гемодинамические показатели также понижались в 1—5-е . сутки заболевания с минимальным значением к 3-му дню, после чего имели нерезко выраженную тенденцию к повышению. Изменения удельного периферического сопротивления носили волнообразный характер (рис.).
Серийное исследование гемодинамических показателей в основной группе Б позволило выявить следующие закономерности: если до применения курса аминокислотных препаратов важнейшие гемодинамические показатели были приблизительно одинаковы с таковыми в контрольной группе, то после окончания курса при проведении велоэргометрии с реографией (на 23—27-е сутки заболевания) было отмечено повышение ударного индекса сердца на высоте субмаксимальной физической нагрузки по сравнению с этим показателем в контрольной группе (Р<0,05), величины сердечных индексов в обеих группах были приблизительно одинаковы.
Следовательно, комплексное лечение, направленное на стимуляцию белкового синтеза, оказывает существенное влияние на клинические проявления и течение заболевания. Отчетливое воздействие применявшихся средств на длительность болевого синдрома, по-видимюму, связано с их основным репаративным действием на неповрежденный миокард и периинфарктную зону. Противоаритмическое действие специальной терапии может быть ютчасти объяснено наличием в альвезине ионов К + и Mg2+a а также повышенной фиксацией К+ и Mg2+s клетках, наступающей вследствие усиления внутриклеточного синтеза белка. Повышение АД сразу после инфузии аминокислотных препаратов, по-видимому, обусловлено их юсмотическим действием, приводящим к выходу жидкости из клеток в сосудистое русло. Это имеет положительное значение при лечении сердечной недостаточности не только путем уменьшения содержания жидкости в ткани (противоотечный эффект),но и благодаря прямому диуретическому действию. Усугубления недостаточности кровообращения, которое могло бы быть отнесено за счет инфузии, не было ютмечено ни разу (при условии медленного введения препаратов, а также регулирования диуреза с помощью традиционной терапии). Вообще при введении альвезина за все время его применения побочные реакции не возникали ни разу. У 9 человек отмечалось понижение аппетита, не потребовавшее прекращения лечения аминокислотными препаратами.
Таким образом, включение в комплексную терапию больных инфарктом миокарда средств, усиливающих репаративные процессы, вызывает улучшение показателей центральной гемодинамики на этапах внутригоспитальной реабилитации, а также повышает реадаптацию больных к физическим нагрузкам за счет повышения ресурсов сократимости миокарда.
Об авторах
Л. А. Лещинский
Автор, ответственный за переписку.
Email: info@eco-vector.com
Россия
А. Е. Второв
Email: info@eco-vector.com
Россия
Список литературы
- Анисимова Л. В. Эффективность лечения и коррекция белкового метаболизма комбинациями ретаболила и метилурацила с панангином при инфаркте миокарда. Автореф. канд. дисс., Свердловск, 1982.—
- Барбакова А. А. Оценка влияния ретаболила и строфантина на протеинорепаративные процессы, параметры кардиогемодинамики и формирование постинфарктных аневризм и диссинергий сердца у больных инфарктом миокарда. Автореф. канд. дисс., Свердловск, 1982.
- Гватуа Н. Д., Кравцов В. ГЕ, Иванова А. К. и др. Кардиология, 1980, 10.—
- Захарова А. А., Полкин М. Н., Сукалова Т. И., Бобкова В. Н. Там же, 1982, 9.—
- Лещинекий Л. А., Пименов Л. Т., Суднева Л. И. Там же, 1981, 6.—
- Прашкявичус А. К-, ВиткусА. С., ЖаляускенеС. К-, Лукошявичус Л. И. В кн.: Симпозиум по регенерации миокарда. Ереван, 1970.—
- Толейкис А. И., Прашкявичус А. К. В кн.: Митохондрии, структура и функции в норме и патологии. М., 1971.—
- Чазов Е. И. а) Тер. арх., 1974, 11; б) Там же, 1977, 4.—
- Abrams J., Engl. J. Med., 1980, 302,22.—
- Apps Me. P.,Tin ce.r J., Intensive Care Med., 1978, 4, 1.—
- Cairus J. A., Klassen G. A., Chest., 1981, 79, 3.—
- Halber g D„ Andreen M., О d e r n j о G., Sods M., Acta chir. scand. 1974, 140, 6.—
- HizzeJ H. O., Herz, 1981, 6, 2.—
- Kj 1 e i n b e r- ger Gu, Ko trance K-, Pall H., Picheler., Wien. klin. wschr., 1975, 87, 19.—
- Pjrtfhaska H., Tiso B., Koppel H. Wien. med. Woche, 1977, 127, 13.
Дополнительные файлы





