Coagulation disorders due to vitamin K deficiency and indirect anticoagulants
- Authors: Zubairov D.M.1
-
Affiliations:
- Kazan Medical University
- Issue: Vol 76, No 4 (1995)
- Pages: 344-346
- Section: Lectures
- Submitted: 16.03.2022
- Accepted: 16.03.2022
- Published: 15.07.1995
- URL: https://kazanmedjournal.ru/kazanmedj/article/view/105001
- DOI: https://doi.org/10.17816/kazmj105001
- ID: 105001
Cite item
Full Text
Abstract
Vitamins of group K, coagulation vitamins, or antihemorrhagic vitamins, are derivatives of 2-methyl-1,4-naphthoquinone. They are necessary for the synthesis of prothrombin in the liver, factors VII, IX and X, anticoagulant proteins C and S, osteocalcin in bone tissue, and gamma-carboxylated sperm and kidney proteins.
Keywords
Full Text
Витамины группы К, витамины коагуляции, или антигеморрагические витамины, являются производными 2-метил-1,4-нафтохинона. Они необходимы для синтеза в печени протромбина, факторов VII, IX и X, антикоагуляционных протеинов С и S, остеокальцина в костной ткани и гамма-карбоксилированных белков сперматозоидов и почек.
Наиболее богаты витамином К зеленые растения, в которых он содержится в хлоропластах в виде филлохинона. Среди продуктов животного происхождения по уровню витамина К первое место занимает свиная печень. Синтезируется он и кишечными бактериями. Химическая природа препаратов витамина К, выделенных из люцерны и гниющей рыбной муки, оказалась неодинаковой; первой назван витамином К1, другой — витамином К2 (менахинон).
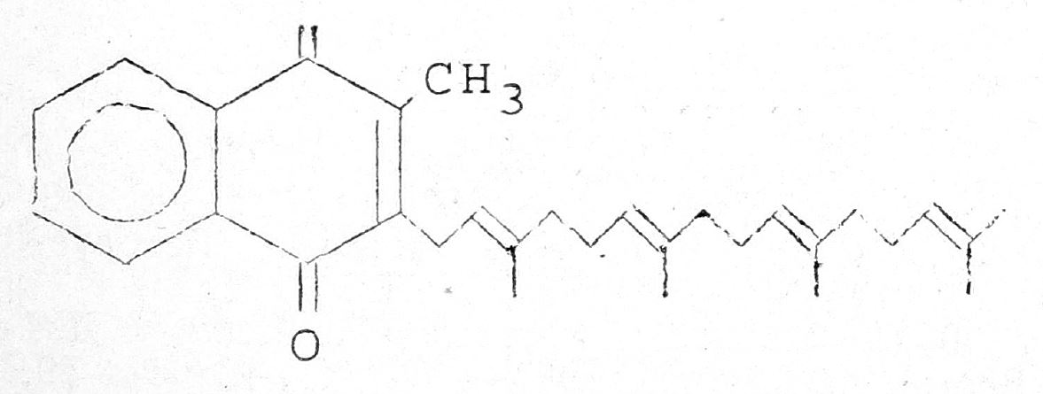
Рис. 1. Структура витамина К2 (менахинона)
Менахинон — форма витамина К, обнаруженная в печени млекопитающих. Он является представителем большой семьи соединений с активностью витамина К. Имеются разные по длине и степени ненасыщенности длинной боковой цепи формы витамина К. Значение этих вариаций не выяснено.
Некоторые синтетические хиноны, отличающиеся от природных витаминов К, обладают различной антигеморрагической активностью. В нашей стране большое распространение нашел водорастворимый препарат викасол, однако его эффективность в последнее время подвергается сомнению [2], особенно в сравнении с витамином К.
После открытия витамина К прошло около 40 лет, прежде чем стал известен этап белкового синтеза, в котором он принимает участие. Витамин К в гидрохинонной форме выполняет роль кофермента карбоксилазы, осуществляющей карбоксилирование обычно рядом расположенных остатков глутаминовой кислоты в белках в остатки гамма-карбоксиглутаминовой кислоты.
Частично очищенный препарат карбоксилазы был выделен из солюбилизированных микросом печени коров. Посттрансляционная модификация гамма-карбоксилируемых белков происходит после проникновения этих секретируемых белков в эндоплазматический ретикулум гепатоцитов. Витамин К-зависимая карбоксилаза является интегральным белком, для функционирования которой необходимы СО2 и O2.
Протромбин, факторы VII, IX, X, протеины С и S синтезируются на рибосомах в форме предшественников, состоящих из аминокислотных остатков, обнаруженных в зрелых молекулах, и дополнительных лидерных последовательностей на N-конце полипептидных цепей. Лидерная последовательность содержит 20—30 довольно гидрофобных аминокислотных остатков, которые служат сигналом, требующимся для транслокации через эндоплазматическую мембрану, и которые обозначаются как пре-сегмент. В перечисленных белках (все они секреторные белки) пре-сегмент сопровождается кластером примерно из 15 аминокислотных остатков, которые называют про-сегментом. Общепринято считать, что последний требуется для распознавания нарождающейся белковой цепи витамин К-зависимой карбоксилазой. Первые остатки гамма-карбоксиглутаминовой кислоты в факторах свертывания крови, находящихся в крови, расположены в 6-м положении (факторы VII и X, протеины С и S) или в 7-м (протромбин и фактор IX), поэтому ясно, что пре-сегмент, как и про-сегмент, отщепляется в процессе созревания этих белков.
Рис. 2. Механизм реакции γ-карбоксилирования [6]
Возможен такой механизм реакции гамма-карбоксилирования (рис. 2), который предусматривает окисление гидрохинонной формы витамина К в гидропероксид [6]. Хинонная форма витамина К может переходить в гидрохинонную форму двумя независимыми путями, различающимися по воздействию на них непрямых антикоагулянтов. Первый путь катализируется витамин-К-эпоксидредуктазой и in vitro использует дитиотреитол для восстановления витамина К и его эпоксида. Этот путь расценивается как физиологически значимый для восстановления витамина К в печени. Он необратимо ингибируется препаратами кумаринового ряда, и витамин К1 не может преодолеть торможение этого пути, достигнутое под действием варфарина и дикумарина. Второй путь катализируется пиридин-зависимыми дегидрогеназами печени. Он использует НАД/Ф/Н и мало подвержен действию кумаринов.
Передозировка и отравление препаратами кумаринов способны привести к фатальному кровотечению. В таких случаях высокие концентрации витамина К могут быть применимы в качестве антидота. Только второй путь гамма-карбоксилирования восстанавливается при использовании витамина К в качестве противоядия при отравлении непрямыми антикоагулянтами.
Небольшим антикоагуляционным действием обладают салициловая и ацетилсалициловая кислоты, имеющие близкую к витамину К химическую структуру.
Таким образом, при недостатке витамина К или при введении его антагонистов нарушается посттрансляционная модификация протромбина, факторов VII, IX, X, протеинов С и S. У человека и крупного рогатого скота по крайней мере часть промежуточных продуктов синтеза этих белков, не подвергаясь гамма-карбоксилированию, выделяется в кровоток в виде II, VII, IX и X (РІVКА — «protein in vitamin K absence», протеин, образующийся в отсутствие витамина К). У ряда других видов, в частности у собак, кроликов, крыс и морских свинок, РІVКА II в плазме крови почти не обнаруживается, а накопление промежуточных продуктов синтеза происходит в микросомальной фракции печени. РІVКА не способны к связыванию должным образом ионов кальция, которое необходимо для конформационного изменения в процессе свертывания крови. После приема непрямых антикоагулянтов у людей активность фактора VII снижается наиболее резко — на 10% в час, факторов IX и X — на 2% в час, протромбина — на 1 % в час. Это обусловлено различными скоростями распада данных проферментов в организме и соответствует интенсивности их синтеза в печени. На наш взгляд, причиной, лежащей в основе разных скоростей распада факторов II, VII, IX и X в организме, служит неодинаковое сродство их молекул к клеточным мембранам.
В нашей лаборатории было установлено, что при назначении в больших дозах непрямого антикоагулянта дикумарина происходит не только подавление синтеза гамма-карбоксилируемых факторов свертывания крови. но и накопление в крови и сосудистой стенке антикоагулянтов (антитромбинов III и II) Эти данные недавно были подтверждены и другими исследователями. Увеличение уровня антитромбинов мы склонны рассматривать как результат высвобождения их из комплекса с тромбином (точнее, невозможности образовывать комплекс с тромбином), ибо нарушается их естественное потребление в процессе скрытого внутрисосудистого свертывания крови [3, 4].
Хотя суточную потребность человека в витамине К трудно определить, было установлено, что для сохранения нормального свертывания крови у взрослых, лишенных этого витамина, требуется внутривенное введение приблизительно 0,03 мг в день.
Первичная недостаточность витамина К у человека чрезвычайно редка ввиду широкого его распространения в растительных и животных продуктах и синтеза кишечной микрофлорой. Децифит может наблюдаться у новорожденных, в частности в случае стерильности кишечника, так как плацента относительно плохо пропускает этот жирорастворимый витамин.
Гораздо чаще (при стеаторрее, вызванной закупоркой желчных путей, спру, поражении поджелудочной железы и др.) встречается вторичная недостаточность витамина К, при которой затрудняется всасывание липидов. Такого рода недостаточность может быть быстро устранена приемом внутрь солей желчных кислот или парентеральным введением витамина К.
About the authors
D. M. Zubairov
Kazan Medical University
Author for correspondence.
Email: info@eco-vector.com
Department of Biochemistry
Russian Federation, KazanReferences


