On the question of the composition and properties of lipohepine
- Authors: Lastochkin P.N.
- Issue: Vol 11, No 3-4 (1911)
- Pages: 67-79
- Section: Articles
- Submitted: 26.10.2020
- Accepted: 26.10.2020
- Published: 11.03.1911
- URL: https://kazanmedjournal.ru/kazanmedj/article/view/48537
- DOI: https://doi.org/10.17816/kazmj48537
- ID: 48537
Cite item
Full Text
Abstract
This article is a natural continuation of my work "On lipogenin", published in the same journal in 1910 in v. X. The properties of lipogenin and the reasons why lipogenin prepared by the factory br. Krestovnikovs, entered medical practice, and those interested in this issue I refer to the specified work
Keywords
Full Text
Настоящая статья является естественнымъ продолженіемъ моей работы „О липогенинѣ“, напечатанной въ этомъ же журналѣ въ 1910 г. въ т. X. Тамъ же были указаны свойства липогенина и причины, по которымъ липогенинъ, приготовляемый фабрикой бр. Крестовниковыхъ, вошелъ въ медицинскую практику, и интересующихся этимъ вопросомъ отсылаю къ указанной работѣ.
Теперь же считаю необходимымъ напомнить объ одномъ въ высшей степени цѣнномъ свойствѣ липогенина, именно о его способности противостоять атмосфернымъ вліяніямъ,—свойствѣ, выражающемся въ томъ, что липогенинъ не разлагается, не прогоркаетъ при соприкосновеніи съ воздухомъ въ теченіе цѣлыхъ мѣсяцевъ и даже нѣсколькихъ лѣтъ, въ противоположность обыкновеннымъ жирамъ и масламъ (глицеридамъ жирныхъ кислотъ). Такое свойство липогенина, особенно интересное и важное въ медицинскомъ отношеніи, было указано и подчеркнуто всѣми авторами, имѣвшими дѣло съ липогениномъ (Кромеръ1, Агабабовъ5 Перекроповъ 6), Ласточкинъ 7)). И даже можно сказать, что предпочтеніе, сдѣланное проф. Агабабовымъ липогенину передъ другими растворителями алкалоидовъ, употребляемыхъ въ глазной практикѣ, основано на указанномъ свойствѣ липогенина—его стойкости 5).
Возможно, что стойкость липогенина есть слѣдствіе той крѣпкой и сильной связи, съ какой жирныя кислоты липогенина связаны съ алкоголемъ въ сложные эѳиры. Что это за алкоголь, входящій въ составъ липогенина —на это въ литературѣ указаній не имѣется, и Кромеръ 7), первый изслѣдователь липогенина, указываетъ только, что въ составѣ липогенина глицерина нѣтъ. Далѣе, мною также отмѣчено, что въ липогенинѣ не оказалось и холестерина. Рѣшить, какой же алкоголь находится въ липогенинѣ, благодаря которому послѣдній является такимъ стойкимъ веществомъ, важно въ томъ отношеніи, что мы тогда овладѣемъ принципомъ, по которому могли бы создать препаратъ, имѣющій достоинства липогенина и лишенный его недостатковъ. Поэтому мною, по предложенію и подъ руководствомъ д-ра В. В. Николаева, и была продолжена работа о липогенинѣ въ фармацевтической лабораторіи Казанскаго Университета.
По опредѣленіямъ Кромера 1, для lipog. liquidum et solidum и по нашимъ опредѣленіямъ 7), для липогенина № 1/2, № 1, № 2, № 3, процентное содержаніе жирныхъ кислотъ, нерастворимыхъ въ водѣ (число Hehner’a), представлялось въ слѣдующемъ видѣ:
№ Ѵ2 | № 1 | № 2 | № 3 | Lipog. liquidum. | Lipog. solidum. |
89,01 | 88,55 | 87,55 | 89,4 | > 90,33 | 88,29 |
При чемъ, жирными кислотами, по изслѣдованіямъ Кромера, были олеиновая, изоолеиновая и пальмитиновая кислоты, а по нашимъ—олеиновая, изоолеиновая и стеариновая.
Такъ какъ въ 100 вѣсовыхъ частяхъ липогенина находится около 90 вѣсовыхъ частей жирныхъ кислотъ (нерастворимыхъ въ водѣ), то спрашивается, какое же вещество составляютъ недостающіе 10°/о
Кислотами ни въ связанномъ ни въ свободномъ состояніи эти 10°/о быть не могутъ, потому что тогда остальные 90°/о кислотъ были бы свободны, чего нельзя предположить, ибо кислотность липогенина почти равна 0. Слѣдовательно, нужно думать, что это какой-либо алкоголь, связанный съ находящимися въ липогенинѣ жирными кислотами.
Алкоголь этотъ долженъ обладать малымъ частичнымъ вѣсомъ, если принять въ соображеніе его количественное отношеніе (10°/о) къ жирнымъ кислотамъ (90О/о). Помимо этого, онъ долженъ имѣть низкую точку затвердѣванія, ниже 0°С, потому что изъ кислотъ, входящихъ въ составъ липогенина, нѣтъ ни одной затвердѣвающей ниже 14°С, тогда какъ липогенинъ № 1/2, затвердѣваетъ при 10°С и, кромѣ того, липогенинъ № 0 затвердѣваетъ при 0°С 6>; слѣдовательно, алкоголь, входя въ составъ липогенина, понижаетъ его температуру затвердѣванія ниже температуры его ингредіентовъ. Кромѣ того, этотъ алкоголь долженъ обладать большей металличностъю сравнительно съ глицериномъ, потому что липогенинъ, въ противоположность глицеридамъ, продолжительное время не прогоркаетъ на воздухѣ и не разлагается.
Вычисленія, произведенныя съ цѣлью приблизительно опредѣлить молекулярный вѣсъ входящаго въ липогенинъ спирта, приводятъ къ такимъ даннымъ:
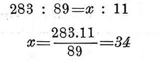
Липогенинъ №1/2 содержитъ (см. стр. 4) жирныхъ кислотъ, нерастворимыхъ въ водѣ 89% и алкоголя 100—89=11%. Кислотами, входящими въ липогенинъ № 1/2, являются: олеиновая, изоолеиновая и стеариновая 7). Взявъ ариѳметическое среднее изъ молекулярныхъ вѣсовъ этихъ кислотъ
получаемъ 283—средній молекулярный вѣсъ жирныхъ кислотъ, входящихъ въ липогенинъ № 1/2. Принимая х за искомый молекулярный вѣсъ алкоголя, имѣемъ по пропорціи:
Слѣдовательно, молекулярный вѣсъ алкоголя, входящаго въ липогенинъ № 1/2 долженъ быть около 34.
Точно такимъ же методомъ находимъ приблизительное числовое значеніе для молекулярнаго вѣса спирта и въ остальныхъ номерахъ липогенина:
Такъ какъ въ липогенинѣ, изслѣдованномъ Кромеромъ, были найдены олеиновая, изоолеиновая и пальмитиновая (а не стеариновая)
кислоты, то средній молекулярный вѣсъ кислотъ будетъ не 283; какъ у насъ, а 279.
Поэтому, для Lipog. liquidum Кромера молекулярный вѣсъ спирта долженъ быть:
а для Lipog. solidum
Слѣдовательно, во всѣхъ изслѣдованныхъ формахъ липогенина молекулярный вѣсъ спирта, входящаго въ составъ липогенина, по только что приведеннымъ вычисленіямъ, представляется въ слѣдующемъ видѣ:
*7». | № 1 | № 2 | Я 3 | Lipog. liquidum. | Lipog. solidum. |
34 | 36 | 40 | 34 | 31 | 37 |
Если взять среднее ариѳметическое изъ всѣхъ этихъ данныхъ, то получимъ приблизительное числовое значеніе молекулярнаго вѣса спирта, связаннаго съ жирными кислотами во всѣхъ изслѣдованныхъ Кромеромъ и нами препаратахъ липогенина:
Изъ всѣхъ спиртовъ по своему молекулярному вѣсу наиболѣе близко подходитъ къ 35 метиловый спиртъ
Послѣдній спиртъ удовлетворяетъ всѣмъ условіямъ, высказаннымъ на стр. 4:
1, онъ имѣетъ малый частичный вѣсъ,
2, затвердѣваетъ ниже 0°С,
3, обладаетъ бблыпей металличностью, сравнительно съ глицериномъ.
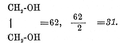
Точно также не будетъ противорѣчить вычисленіямъ молекулярнаго вѣса спирта (особенно для Lipog. Iiquidum=31) еще и наше новое предположеніе, что въ липогенияѣ нацѣло связанъ съ жирными кислотами не метиловый спиртъ, а этиленъ—гликоль. Въ этомъ случаѣ, на каждую молекулу кислоты придется этиленъ— гликоля:
Чтобы окончательно рѣшить вопросъ, какой же изъ указанныхъ двухъ возможныхъ спиртовъ входитъ въ составъ липогенина, нами были поставлены опыты въ двухъ направленіяхъ: аналитическомъ и синтетическомъ.
Анализъ липогенина. Исходя изъ предположенія, что въ составѣ липогенина заключается метиловый спиртъ, мы изслѣдовали липогенинъ всѣхъ четырехъ номеровъ слѣдующимъ образомъ:
- Липогенинъ сполна обмыливался избыткомъ спиртоваго (этиловый спиртъ) раствора КОН; обмыленный липогенинъ, содержащій въ себѣ 1) мыла олеиновой, изоолеиновой и стеариновой кислотъ, 2) этиловый спиртъ, 3) воду и 4) предполагаемый метиловый алкоголь, перегонялся при обычномъ атмосферномъ давленіи на водяной банѣ. Въ пріемникъ должны были перейти: 1) этиловый спиртъ, 2) метиловый спиртъ и 3) вода.
Первыя 2—3 капли перегона начали переходить при t° 60°С, затѣмъ сразу термометръ повышался до 78 и почти вся остальная масса переходила въ пріемникъ при 78°—81 °C. Слѣдов., температура перегонки очень мало указывала на присутствіе метиловаго спирта (t° кипѣнія его 66°С).
- Жидкость, перешедшая въ пріемникъ, обладала запахомъ этиловаго спирта съ примѣсью запаха метиловаго алкоголя.
- Данная жидкость, при погруженіи въ нее окисленной и раскаленной до красна мѣдной сѣтки, возстановляла послѣднюю, при чемъ слышался рѣзкій запахъ альдегида.
- Послѣ возстановленія СпО въ Си—изслѣдуемая жидкость давала такъ называемое „альдегидное зеркало", (къ 0,1—0,2 grm. AgNOs, раствореннаго въ 10 ссш. воды, прибавлялись 1—2 капли ѣдкаго амміака и 2—3 капли изслѣдуемой смѣси спиртовъ 15). До возстановленія СпО альдегиднаго зеркала не получалось.
- На крѣпкую H2SO4 въ пробиркѣ наслаивалась смѣсь изъ 2—3 ссш. изслѣдуемой жидкости съ 1 капл. 1°/0 раствора карбо- ловой кислоты: черезъ 20—30 м. на границѣ двухъ слоевъ жидкостей появлялось кольцо фіолетоваго цвѣта, указывавшее, что альдегидъ, получившійся при реакціи возстановленія, былъ не только ацетальдегидъ, но и формальдегидъ, который при данныхъ условіяхъ могъ образоваться только изъ метиловаго спирта. Какъ извѣстно 14), эта реакція на формальдегидъ настолько чувствительна, что даетъ фіолетовое кольцо при разведеніи 1:200,000.
- Наконецъ, была продѣлана качественная реакція на метиловый спиртъ, позволявшая открыть послѣдній и въ присутствіи этиловаго спирта. Основаніе реакціи по Е. Voisenet 13) состоитъ въ слѣдующемъ. При окисленіи метиловаго спирта посредствомъ К2Сг2О7 и H2SO4 образуются метилаль и метилендиэти- латъ, которые въ присутствіи бѣлка отъ дѣйствія соляной кислоты, содержащей слѣды азотистой кислоты, даютъ фіолетовую окраску. При окисленіи же этиловаго спирта образуются, какъ извѣстно, ацетальдегидъ, этилаль, уксусная кислота и этилацетатъ, которые отъ дѣйствія указанныхъ реагентовъ не даютъ фіолетоваго окрашиванія. Реакція, какъ извѣстно 13), состоитъ въ слѣдующемъ: 10 ссш. испытуемой жидкости смѣшиваютъ съ водой такъ, что бы всего получилось 50 ссш; прибавляютъ 5 grm. порошкообразнаго К2Сг2О7 и 30 ссш. 20°/о H2SO4, взбалтываютъ и оставляютъ стоять около 1 часа. Затѣмъ смѣсь перегоняютъ, при чемъ около 30 ссш. первой порціи перегона отбрасываютъ, а въ остальныхъ 20 ссш. перегона опредѣляютъ метилаль такимъ образомъ: смѣшиваютъ 4 ссш. перегона съ 1 ссш. раствора бѣлка и 15 ссш. НС1, содержащей слѣды азотистой кислоты. (Бѣлковый растворъ приготовляютъ черезъ смѣшеніе 4 ч. яичнаго бѣлка съ 1 ч. воды въ объемномъ отношеніи; соляную кислоту со слѣдами азотистой получаютъ черезъ смѣшиваніе 200 ссш. НС1 съ 0,1 ссш. 3,6% раствора KNO3). Затѣмъ сильно взбалтываютъ такъ, что бы часть бѣлка растворилась и нагрѣваютъ полученное на водяной банѣ при t° 50°С. Черезъ нѣкоторое время (10—15 м.), въ случаѣ присутствія метилаля, жидкость окрашивается въ фіолетовый цвѣтъ.
Данная реакція, въ точности продѣланная съ жидкостью, полученною при перегонкѣ обмыленнаго липогенина, дала въ концѣ опыта интенсивное фіолетовое окрашиваніе *).
Синтезъ лияогенина. Чтобы подтвердить результаты качественныхъ реакцій, указывавшихъ на присутствіе въ липогенинѣ метиловаго спирта, и чтобы окончательно отвѣтить себѣ на вопросъ, — метиловый алкоголь въ липогенинѣ или какой- либо другой, мной и было приступлено къ синтезу липогенина. Методъ синтеза липогенина состоялъ во 1-хъ въ томъ, что метиловый спиртъ соединялся съ жирными кислотами, выдѣленными, изъ липогенина, во 2-хъ—въ этерификаціи метиловымъ же алкоголемъ мною приготовленной смѣси олеиновой, изоолеиновой и стеариновой кислотъ.
1) Около 100 grm. каждаго номера липегепина, обмыливалось избыточнымъ количествомъ спиртоваго раствора КНО (этиловый спиртъ) въ теченіе 1 часа въ колбѣ съ обратно поставленнымъ холодильникомъ. Обмыленный липогенинъ изъ колбы перемѣщался въ выпарительную чашку и ставился на водяную баню для удаленія спирта, при постоянномъ прибавленіи воды. Когда спиртъ былъ удаленъ, мыла были разложены НС1 и жирныя кислоты, нерастворимыя въ водѣ, выдѣлялись на поверхности жидкости въ видѣ прозрачнаго маслообразнаго слоя; выставлялись на холодъ, гдѣ черезъ нѣкоторое время и застывали. Послѣ этого снимались съ поверхности жидкости въ выпарительной чашкѣ, измельчались въ ступкѣ и сушились въ эксикаторѣ въ продолженіи 21/2—3 сутокъ.
50 grm. высушенной смѣси жирныхъ кислотъ (олеиновая, изоолеиновая и стеариновая кислоты) растворялись въ 50 grm метиловаго алкоголя (Kahlbaum). Растворъ помѣщался въ Эрлен- мейеровскую колбочку и черезъ растворъ быстрой струей пропускался газообразный чистый НС1 въ теченіе одного часа. Обыкновенно, черезъ 20 — 30 мин. послѣ начала пропусканія хлороводороднаго газа изъ раствора жирныхъ кислотъ въ метиловомъ спиртѣ начинался выходъ сложнаго эѳира въ видѣ жидкой маслообразной массы. Послѣ этого выпаденія, хлороводородъ пропускался еще минутъ 10—15 и, наконецъ, полученная смѣсь оставлялась стоять въ тепломъ мѣстѣ не менѣе 12 часовъ, по прошествіи которыхъ въ смѣсь приливался избытокъ дестиллированной воды, благодаря которой эѳиръ поднимался на поверхность. Всю жидкость сливали въ дѣлительную воронку и эѳиръ промывался тамъ сначала новыми порціями воды до уничтоженія слѣдовъ НС1, а затѣмъ—1/2°/0 воднымъ растворомъ КОН (для удаленія свободныхъ жирныхъ кислотъ) и, наконецъ, промывался многократно дестиллированной водой въ цѣляхъ освобожденія сложнаго эѳира отъ мыла. По окончаніи промыванія, вода сливалась изъ воронки въ выпарительную чашку, куда прибавлялся для высушиванія эѳира прокаленный CuSO4 и затѣмъ эѳиръ ставился въ эксикаторъ. Послѣ высушиванія эѳиръ фильтровался и изслѣдовался.
Результаты изслѣдованія представлены въ слѣдующей таблицѣ:
| Липогенинъ № 7,. | Липогенинъ № 1. |
| ||||
Липогенинъ. | Кислоты ли- погѳ- нина. | Полученный эѳиръ. | Липогенинъ. | Кислоты липогенина. | Полученный эѳиръ. | ||
t° затвѳрдѣва- нія. | 9° | 40° | 9° | 14° | 45° | 14° | |
Коэффиціентъ свѣтопреломляемости при 25°С. | 2,4450 | — | 1,4450 | 1,4445 | — | 1,4445 | |
Форма при обыкнов. температурѣ. | Прозрачная маслообразная жидкость. | Твердая не прозрачная масса. | Прозрачная маслообразная жидкость. | Прозрачная маслообразная жидкость. | Твердая не прозрачная масса. | Прозрачная маслообразная жидкость. | |
| Липогенинъ № 2. | Липогенинъ Nq 3. | |||||
Липогенинъ. | Кислоты липогенина. | Полученный эѳиръ. | Липогенинъ. | Кислоты липогенина | Полученный эѳиръ. | ||
t° затвердѣванія. | 24° | 53° | 24° | 21,6° | 55“ | 21,6° | |
Коэффиціентъ свѣтопреломляемости при- 25°С. | 1,4430 | — | 1,4430 | 1,4436 | — | 1,4435 | |
Форма при обыкнов. температурѣ. | Большіе про* зрачные кристаллы таблицеобразной формы. | Твер дая непрозрачная масса. | Большіе прозрачные кристаллы таблицеобразной формы. | Большіе прозрачные кристаллы таблицеобразной формы. | Твердая не прозрачная иасса. | Іолыпіе прозрачные кристаллы таблицеобразной формы. |
Эта таблица показываетъ: воі-хъ, что температура затвердѣвавши липогенина тождественна съ t° затвердѣванія сложнаго эѳира, полученнаго этерификаціей метиловымъ спиртомъ смѣси жир ныхъ кислотъ, выдѣленныхъ изъ взятаго для изслѣдованія липогенина; во-2-хъ, форма каждаго номера липогенина одинакова съ формой сложнаго эѳира, соотвѣтствующаго взятому липогенину; въ-3-хъ, коэффиціентъ свѣтопреломляемости, величина котораго, какъ извѣстно, зависитъ только отъ природы вещества (при одной и той же температурѣ), даетъ равныя цифры, и этимъ самымъ доказываетъ тождество природы сравниваемыхъ веществъ.
Слѣдовательно, сложные эѳиры, полученные соединеніемъ метиловаго алкоголя съ омѣсями жирныхъ кислотъ, выдѣленныхъ изъ липогенина, суть ничто иное, какъ липогенинъ.
2) Въ цѣляхъ полученія липогенина синтетически, были поставлены еще слѣдующіе опыты.
Въ чистую олеиновую кислоту (t° пл. 14°С), взятую въ количествѣ 10 grin., пропускалась струя высушеннаго газообразнаго HJ (полученнаго дѣйствіемъ Н2О на PJ3), при чемъ олеиновая кислота, присоединяя іодъ, переходила въ іодстеариновую кислоту 18). Полученная кислота, для превращенія ея въ изоолеиновую и олеиновую кислоты, смѣшивалась въ выпарительной чашкѣ съ 6 grm. КОН, растворенными въ 20 grm. этиловаго алкоголя x) Смѣсь оставлялась стоять 1 сутки, послѣ чего нагрѣвалась на водяной банѣ въ теченіе 1 часа, при этомъ спиртъ испарялся, оставляя въ выпарительной чашкѣ калійныя мыла изоолеиновой и олеиновой кислотъ. Мыла разлагались сѣрной кислотой и смѣсь двухъ изомерныхъ кислотъ собиралась на поверхности въ видѣ прозрачнаго маслообразнаго слоя. Перелитыя въ дѣлительную воронку кислоты были тщательно промыты горячей дестиллированной водой до удаленія слѣдовъ H2SO4. Промытая смѣсь кислотъ переносилась въ эксикаторъ, въ которомъ сушилась въ теченіе 1’/2—2 сутокъ. Высушенная смѣсь изоолеиновой и олеиновой кислотъ имѣла t° плавленія 39°— 40°С, т. е. большая масса состояла изъ изоолеиновой кислоты.
Къ данной смѣси двухъ кислотъ постепенно прибавлялась чистая (t° плавл. 69,2) стеариновая кислота, до тѣхъ поръ пока новая смѣсь, по расплавленіи ея, ни затвердѣвала при 53°—54°С', это дѣлалось для того, чтобы получить смѣсь трехъ жирныхъ кислотъ (олеиновой, изоолеиновой и стеариновой), которая бы имѣла 4° затвердѣванія тождественную съ t° затвэрдѣванія смѣси жирныхъ кислотъ, выдѣленныхъ изъ липогенина № 2. Полученная -смѣсь, температуры затвердѣванія 53°—54°С, была этерифициро- вана метиловымъ алкоголемъ (указаннымъ выше способомъ), сложный эѳиръ былъ очищенъ и высушенъ и, послѣ изслѣдованія его и сравненія съ липогениномъ № 2, необходимо было придти къ заключенію, что онъ былъ тотъ же липогенинъ. Таблица пред- ставляетъ данныя для такого вывода:
| Липогенинъ № 2, | Сложный эѳиръ. |
t° затвердѣванія. | 24° | 24° |
Коэффиціентъ свѣтопреломляемости при t°25°C. | 1,4430 | 1,4430 |
Форма при обыкнов. температурѣ. | Большіе прозрачные кристаллы таблицеобразной формы. | Большіе прозрачные кристаллы таблицеобразной формы. |
Данныя анализа и синтеза липогенина вполнѣ ясно указываютъ, что въ липогенинѣ, вырабатываемомъ фабрикой Бр. Кре- стовпиковыхъ, съ жирными кислотами соединенъ метиловый алкоголь, а не этиленъ-гликоль и никакой другой спиртъ, потому что синтезированный липоген инъ даетъ цифры, которыя, какъ напримѣръ, коэффиціентъ свѣтопреломляемости, совершенно исключаютъ возможность сомнѣнія въ тождествѣ природы липогенина фабричнаго и нами синтетически приготовленнаго. Поэтому мы позволяемъ себѣ установить фактъ, что липогенинъ производства фабрики бр. Крестовниковыхъ, изслѣдованный Кромеромъ и мною, представляетъ изъ себя смѣсь метиловыхъ эѳировъ пальмитиновой 7) стеариновой, изоолеиновой и олеиновой кислотъ *), т. е.
Такъ какъ липогенинъ есть смѣсь метиловыхъ эѳировъ олеиновой, изоолеиновой, пальмитиновой и стеариновой кислотъ и такъ какъ въ жидкомъ липогенинѣ (у Кромера—Lipog. Ііфгі- dum х), у насъ 7)-—№ %, № 1), главную по количеству массу составляютъ метиловые эѳиры изоолеиновой и олеиновой кислотъ, а въ твердомъ липогенинѣ (Lipog. solidum Кромера, и № 2, № 3— нашихъ изслѣдованій) большая часть—сложные эѳиры пальмитиновой и стеариновой кислотъ, то вполнѣ понятно, что консистенція липогенина зависитъ отъ того, какой кислоты эѳиръ является преобладающимъ въ липогенинѣ. Слѣдов., смѣшивая въ различныхъ отношеніяхъ метиловые эѳиры олеиновой, изоолеиновой, пальмитиновой и стеариновой кислотъ, можно получить липогенинъ различныхъ температуръ плавленія, что и имѣетъ мѣсто въ липогенинѣ за 10 лѣтъ его изготовленія фабрикой. Температура плавленія его за этотъ періодъ времени, какъ показали изслѣдованія Кромера, Агабабова, Перекропова и мои, различна и непостоянна:
0°; 8,5°; 9°; 11,5°; 13,5°, 17,5°; 18,8°; 19,5°; 20,5°; 21,5°; 24°; 28°.
Смѣси метиловыхъ эѳировъ жирныхъ кислотъ могутъ быть приготовлены разнообразными способами.
Напримѣръ: 1) смѣшивая отдѣльно взятыя жирныя кислоты— олеиновую, изсолеиновую, пальмитиновую и стеариновую—въ желаемой пропорціи и соединяя приготовленную смѣсь съ метиловымъ алкоголемъ въ сложные эѳиры; 2) каждую изъ указанныхъ кислотъ по отдѣльности этери фицировать метиловымъ спиртомъ и затѣмъ полученные сложные эѳиры смѣшивать въ различныхъ количествахъ; 3) за исходный матеріалъ для полученія липогенина можетъ быть взятъ какой-либо изъ естественныхъ глицериновыхъ жировъ, содержащихъ въ своемъ составѣ олеиновую, пальмитиновую или стеариновую кислоты (наприм. Oleum provinciate, Oleum 3ecoris Aselli, Axungia porci, Sebum bovinum ит. под.). Олеиновая же кислота, входящая въ составъ указанныхъ жировъ, можетъ быть переведена въ большей своей части въ изоолеиновую. Такой способъ, какъ извѣстно 10), состоитъ въ томъ, что естественный жиръ омыливается крѣпкой H2SO4, жиръ распадается на жирныя кислоты и глицеринъ, при чемъ 10), олеиновая кислота переходитъ въ оксистеариновосѣрную кислоту:
а послѣдняя, при дѣйствіи на нее воды, превращается въ оксистеариновую кислоту:
При перегонкѣ же подъ уменьшеннымъ давленіемъ всѣ выдѣленныя жирный кислоты переходятъ въ пріемникъ, при этомъ 10) изъ оксистеариновой кислоты получается смѣсь обыкновенной олеиновой кислоты и, ея изомера, изоолеиновой кислоты:
Полученная въ перегонѣ смѣсь стеариновой, пальмитиновой, олеиновой и изоолеиновой кислотъ, по очищеніи отъ другихъ кислотъ, дастъ при этерификаціи смѣсь метиловыхъ эѳировъ олеиновой, изоолеиновой, стеариновой и пальмитиновой кислотъ, т. е. липогенинъ.
Переходя къ практическому примѣненію липогенина, мы должны сказать, что было бы въ высшей степени полезно въ терапевтическомъ отношеніи, если бы при дальнѣйшихъ изслѣдованіяхъ удалось получить стойкіе масла и жиры, соединяя различныя кислоты съ метиловымъ алкоголемъ, какъ то сдѣлано при изготовленіи липогенина; и, думается, что въ результатѣ возможно найти такой сложный эѳиръ метиловаго спирта, который былъ бы идеальнымъ съ точки зрѣнія фармакологической, т. е. былъ бы стойкимъ веществомъ, хорошим^ растворителемъ алкалоидовъ, легко всасывающимся въ организмѣ, и, вмѣстѣ съ тѣмъ, не являлся бы неопредѣленной количественно смѣсью различныхъ ингредіентовъ, какой представляется липогенинъ, но былъ бы строго и опредѣленно выраженнымъ химическимъ индивидуумомъ.
*) Эта же реакція, но произведенная съ однимъ этиловымъ спиртомъ,, окрашиванія не вызвала.
*) Метиловый эѳиръ олеиновой кислоты былъ впервые полученъ въ чистомъ видѣ пальмитиновой кислоты—Berthelot 19), и стеариновой’— Пап* hart’wuLb 21). Что же касается метиловаго эѳира изоолеиновой кислоты, то относительно его въ доступной мнѣ литературѣ данныхъ мной не найдено.
About the authors
P. N. Lastochkin
Author for correspondence.
Email: info@eco-vector.com
Russian Federation
References
Supplementary files
